Официальное опубликование правовых актов
ОФИЦИАЛЬНОЕ ОПУБЛИКОВАНИЕ
Приказ Комитета по охране объектов культурного наследия Курской области от 02.02.2022 № 05.4-08/51
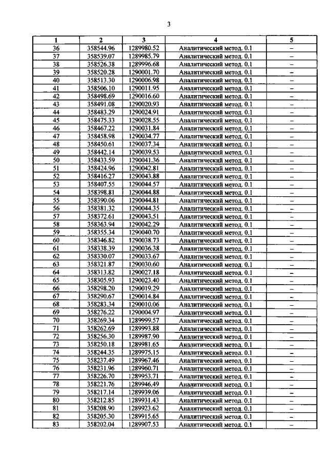
"Об утверждении графического описания местоположения границ защитной зоны объекта культурного наследия регионального значения "Братская могила воинов Советской Армии, погибших в период Великой Отечественной войны. Захоронено 7 человек, установлено фамилий на 6 человек. Скульптура установлена в 1962 году", 1941–1945 гг., 1962 г.(Курская область, Обоянский район, село Каменка (в 15 метрах севернее здания сельсовета)"
Номер опубликования: 4601202202110010
Дата опубликования: 11.02.2022
Страница №5 из 8:
Увеличить