Официальное опубликование правовых актов
ОФИЦИАЛЬНОЕ ОПУБЛИКОВАНИЕ
Приказ Комитета по охране объектов культурного наследия Курской области от 06.12.2021 № 01.1-08/600
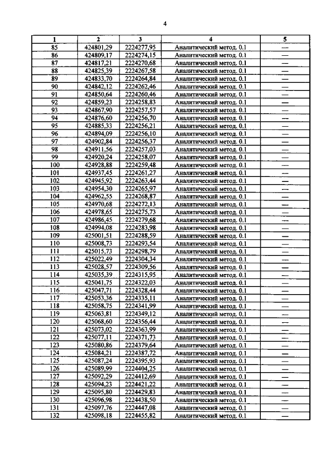
"Об утверждении графического описания местоположения границ защитной зоны объекта культурного наследия регионального значения "Братская могила воинов Советской Армии, погибших в январе 1943 года. Скульптура установлена в 1954 году", 1943 г. (Курская область, Касторенский район, п. Новокасторное, ул. Железнодорожная)"
Номер опубликования: 4601202112100016
Дата опубликования: 10.12.2021
Страница №5 из 7:
Увеличить