Приказ Комитета по охране объектов культурного наследия Курской области от 06.12.2021 № 01.1-08/600
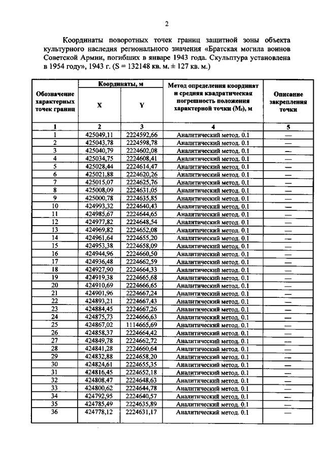
"Об утверждении графического описания местоположения границ защитной зоны объекта культурного наследия регионального значения "Братская могила воинов Советской Армии, погибших в январе 1943 года. Скульптура установлена в 1954 году", 1943 г. (Курская область, Касторенский район, п. Новокасторное, ул. Железнодорожная)"
"Об утверждении графического описания местоположения границ защитной зоны объекта культурного наследия регионального значения "Братская могила воинов Советской Армии, погибших в январе 1943 года. Скульптура установлена в 1954 году", 1943 г. (Курская область, Касторенский район, п. Новокасторное, ул. Железнодорожная)"
Номер опубликования: 4601202112100016
Дата опубликования:
10.12.2021
