Приказ Комитета по охране объектов культурного наследия Курской области от 30.11.2021 № 01.1-08/572
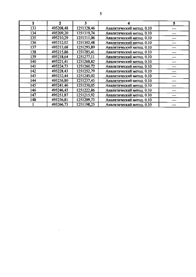
"Об утверждении графического описания местоположения границ защитной зоны объекта культурного наследия регионального значения "Братская могила воинов Советской Армии, погибших в феврале 1943 года. Захоронено 288 человек, установлено фамилий на 118 человек. Скульптура установлена в 1952 году", 1943 г., 1952 г. (Курская область, Железногорский район, с. Волково (в саду школы)"
"Об утверждении графического описания местоположения границ защитной зоны объекта культурного наследия регионального значения "Братская могила воинов Советской Армии, погибших в феврале 1943 года. Захоронено 288 человек, установлено фамилий на 118 человек. Скульптура установлена в 1952 году", 1943 г., 1952 г. (Курская область, Железногорский район, с. Волково (в саду школы)"
Номер опубликования: 4601202112060013
Дата опубликования:
06.12.2021
