Официальное опубликование правовых актов
ОФИЦИАЛЬНОЕ ОПУБЛИКОВАНИЕ
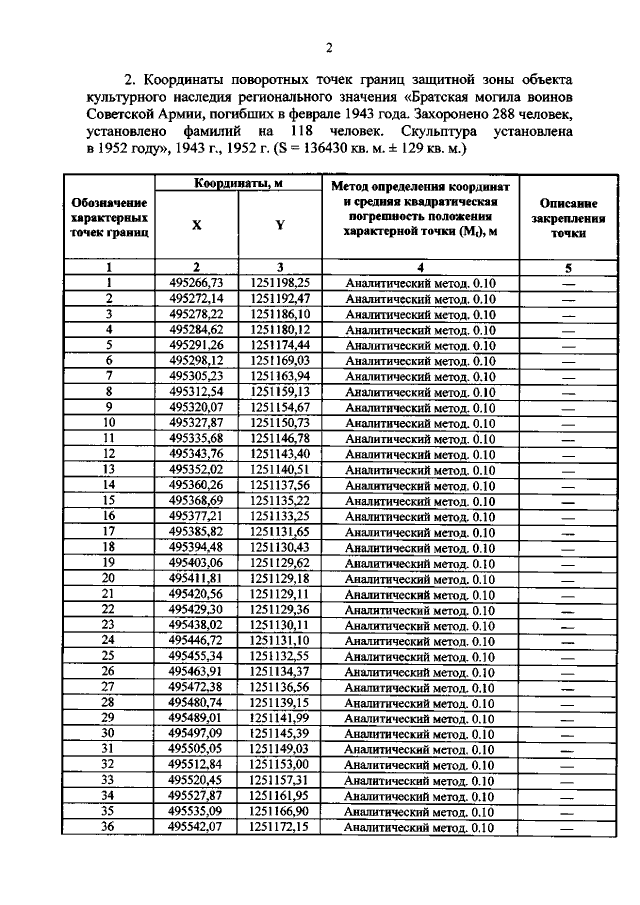
Приказ Комитета по охране объектов культурного наследия Курской области от 30.11.2021 № 01.1-08/572
"Об утверждении графического описания местоположения границ защитной зоны объекта культурного наследия регионального значения "Братская могила воинов Советской Армии, погибших в феврале 1943 года. Захоронено 288 человек, установлено фамилий на 118 человек. Скульптура установлена в 1952 году", 1943 г., 1952 г. (Курская область, Железногорский район, с. Волково (в саду школы)"
Номер опубликования: 4601202112060013
Дата опубликования: 06.12.2021
Страница №3 из 7:
Увеличить