Приказ Комитета по охране объектов культурного наследия Курской области от 15.10.2021 № 01.1-08/492
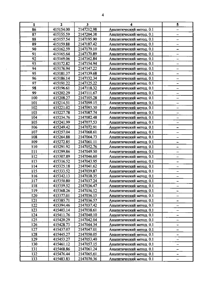
"Об утверждении графического описания местоположения границ защитной зоны объекта культурного наследия регионального значения "Братская могила жителей села, казненных немецко–фашистскими захватчиками в 1942 году. У могилы в 1976 году установлена скульптурная группа", 1942 г. (Курская область, Тимский район, с. Гнилое)"
"Об утверждении графического описания местоположения границ защитной зоны объекта культурного наследия регионального значения "Братская могила жителей села, казненных немецко–фашистскими захватчиками в 1942 году. У могилы в 1976 году установлена скульптурная группа", 1942 г. (Курская область, Тимский район, с. Гнилое)"
Номер опубликования: 4601202110210042
Дата опубликования:
21.10.2021
