Официальное опубликование правовых актов
ОФИЦИАЛЬНОЕ ОПУБЛИКОВАНИЕ
Приказ Комитета по охране объектов культурного наследия Курской области от 15.10.2021 № 01.1-08/492
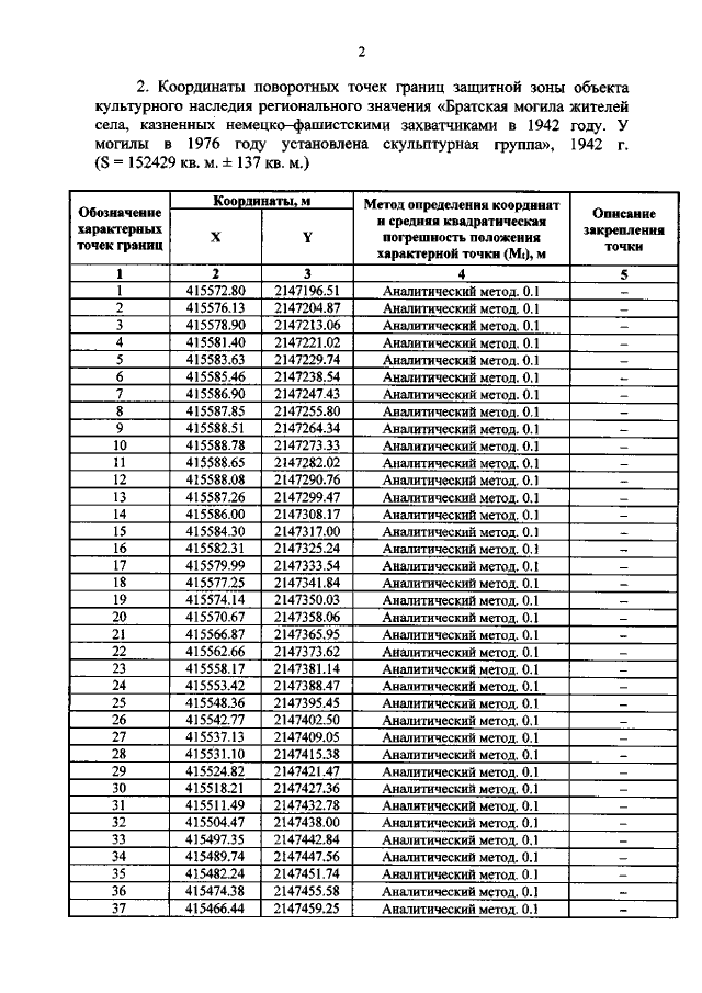
"Об утверждении графического описания местоположения границ защитной зоны объекта культурного наследия регионального значения "Братская могила жителей села, казненных немецко–фашистскими захватчиками в 1942 году. У могилы в 1976 году установлена скульптурная группа", 1942 г. (Курская область, Тимский район, с. Гнилое)"
Номер опубликования: 4601202110210042
Дата опубликования: 21.10.2021
Страница №3 из 7:
Увеличить