Официальное опубликование правовых актов
ОФИЦИАЛЬНОЕ ОПУБЛИКОВАНИЕ
Приказ Комитета по охране объектов культурного наследия Курской области от 01.07.2021 № 01.1-08/211
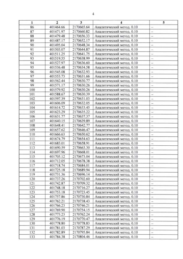
"Об утверждении графического описания местоположения границ защитной зоны объекта культурного наследия регионального значения "Братская могила воинов Советской Армии, погибших в период Великой Отечественной войны. Захоронено и установлено фамилий на 67 человек. Скульптура установлена в 1964 году", 1941-1945 гг., 1964 г., Курская область, Мантуровский район, с. Заречье (у здания сельсовета)"
Номер опубликования: 4601202107070016
Дата опубликования: 07.07.2021
Страница №6 из 8:
Увеличить