Приказ Комитета по охране объектов культурного наследия Курской области от 01.07.2021 № 01.1-08/211
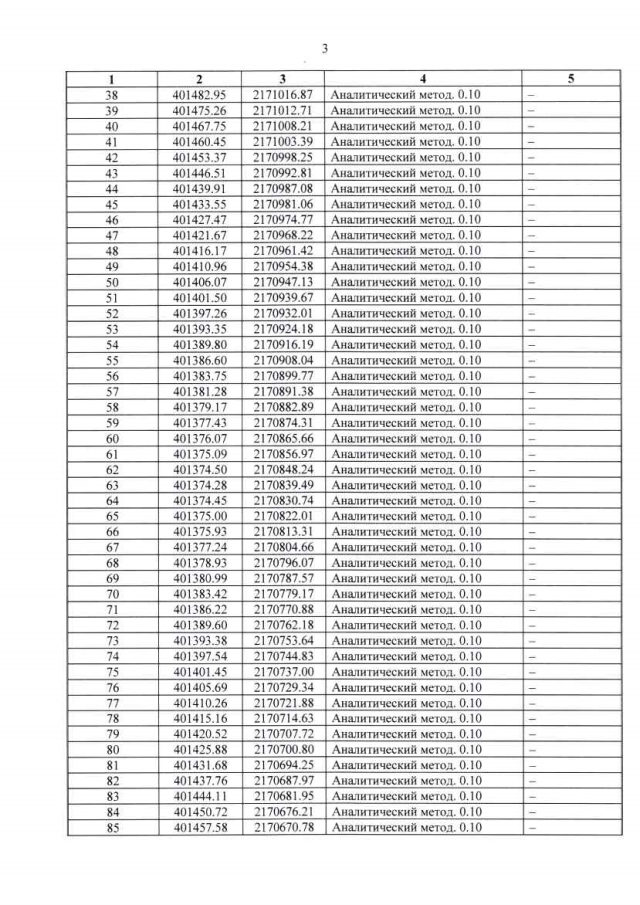
"Об утверждении графического описания местоположения границ защитной зоны объекта культурного наследия регионального значения "Братская могила воинов Советской Армии, погибших в период Великой Отечественной войны. Захоронено и установлено фамилий на 67 человек. Скульптура установлена в 1964 году", 1941-1945 гг., 1964 г., Курская область, Мантуровский район, с. Заречье (у здания сельсовета)"
"Об утверждении графического описания местоположения границ защитной зоны объекта культурного наследия регионального значения "Братская могила воинов Советской Армии, погибших в период Великой Отечественной войны. Захоронено и установлено фамилий на 67 человек. Скульптура установлена в 1964 году", 1941-1945 гг., 1964 г., Курская область, Мантуровский район, с. Заречье (у здания сельсовета)"
Номер опубликования: 4601202107070016
Дата опубликования:
07.07.2021
