Официальное опубликование правовых актов
ОФИЦИАЛЬНОЕ ОПУБЛИКОВАНИЕ
Приказ Министерства имущественных и земельных отношений Камчатского края от 12.05.2025 № 34-Н
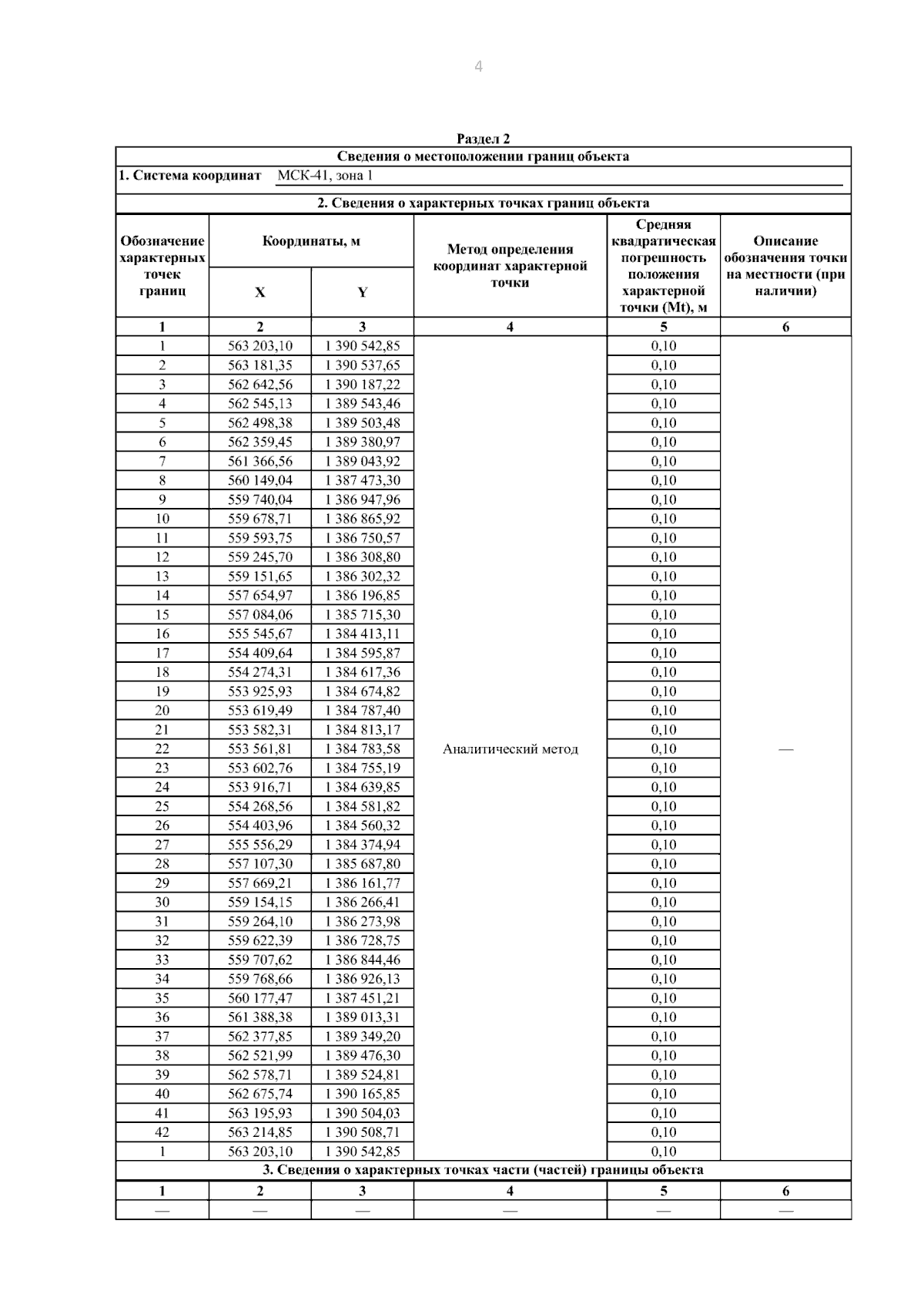
"О внесении изменений в приказ Министерства имущественных и земельных отношений Камчатского края от 14.02.2025 № 9-Н "Об установлении публичного сервитута в целях эксплуатации объекта электросетевого хозяйства "Сооружение ВЛЭП 35 КВ на деревянных опорах" c кадастровым номером 41:05:0000000:922"
(Зарегистрирован 12.05.2025 № 34-Н)
Номер опубликования: 4101202505160006
Дата опубликования: 16.05.2025
Страница №4 из 10:
Увеличить