Официальное опубликование правовых актов
ОФИЦИАЛЬНОЕ ОПУБЛИКОВАНИЕ
Приказ Министерства градостроительной политики Калининградской области от 07.11.2024 № 395
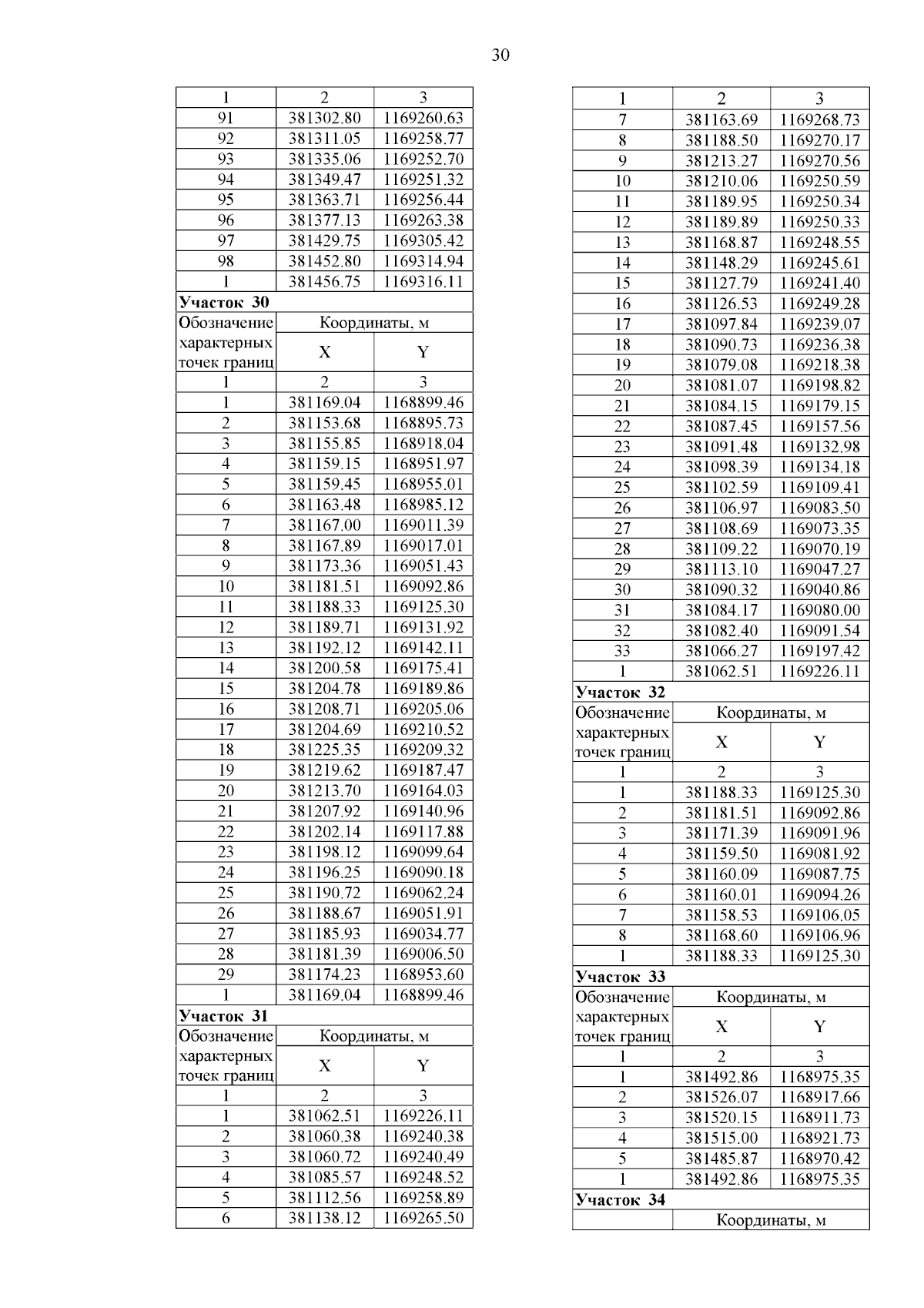
"Об утверждении проекта планировки территории с проектом межевания в его составе в границах улиц Хуторская – Капитанская – Рабочая в городе Пионерский Калининградской области"
(Зарегистрирован 07.11.2024 № ГР/868/2024)
Номер опубликования: 3901202411110003
Дата опубликования: 11.11.2024
Страница №32 из 38:
Увеличить