Официальное опубликование правовых актов
ОФИЦИАЛЬНОЕ ОПУБЛИКОВАНИЕ
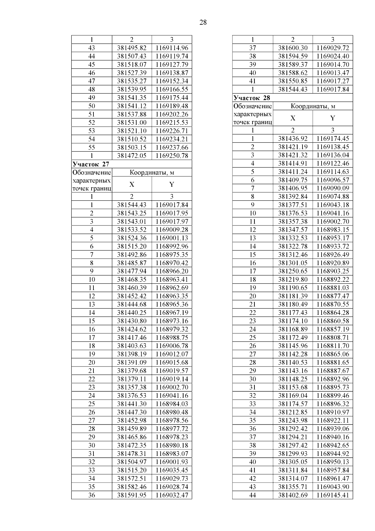
Приказ Министерства градостроительной политики Калининградской области от 07.11.2024 № 395
"Об утверждении проекта планировки территории с проектом межевания в его составе в границах улиц Хуторская – Капитанская – Рабочая в городе Пионерский Калининградской области"
(Зарегистрирован 07.11.2024 № ГР/868/2024)
Номер опубликования: 3901202411110003
Дата опубликования: 11.11.2024
Страница №30 из 38:
Увеличить