Официальное опубликование правовых актов
ОФИЦИАЛЬНОЕ ОПУБЛИКОВАНИЕ
Приказ министерства архитектуры и градостроительства Воронежской области от 15.04.2026 № 45-01-04/172
"О внесении изменений в правила землепользования и застройки Айдаровского сельского поселения Рамонского муниципального района Воронежской области"
(Зарегистрирован 22.04.2026 № 445)
Номер опубликования: 3601202604230006
Дата опубликования: 23.04.2026
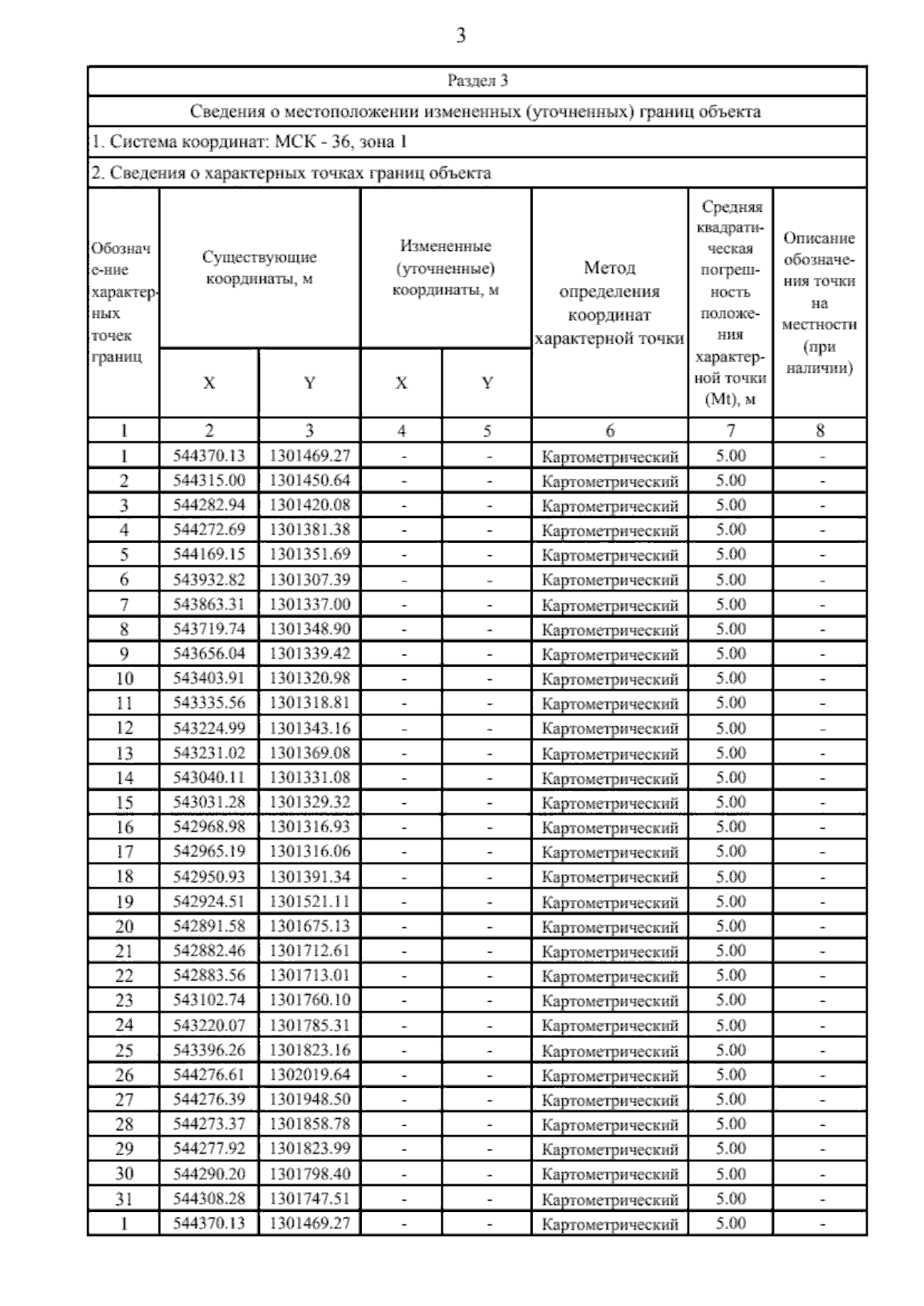
Страница №223 из 259:
Увеличить