Официальное опубликование правовых актов
ОФИЦИАЛЬНОЕ ОПУБЛИКОВАНИЕ
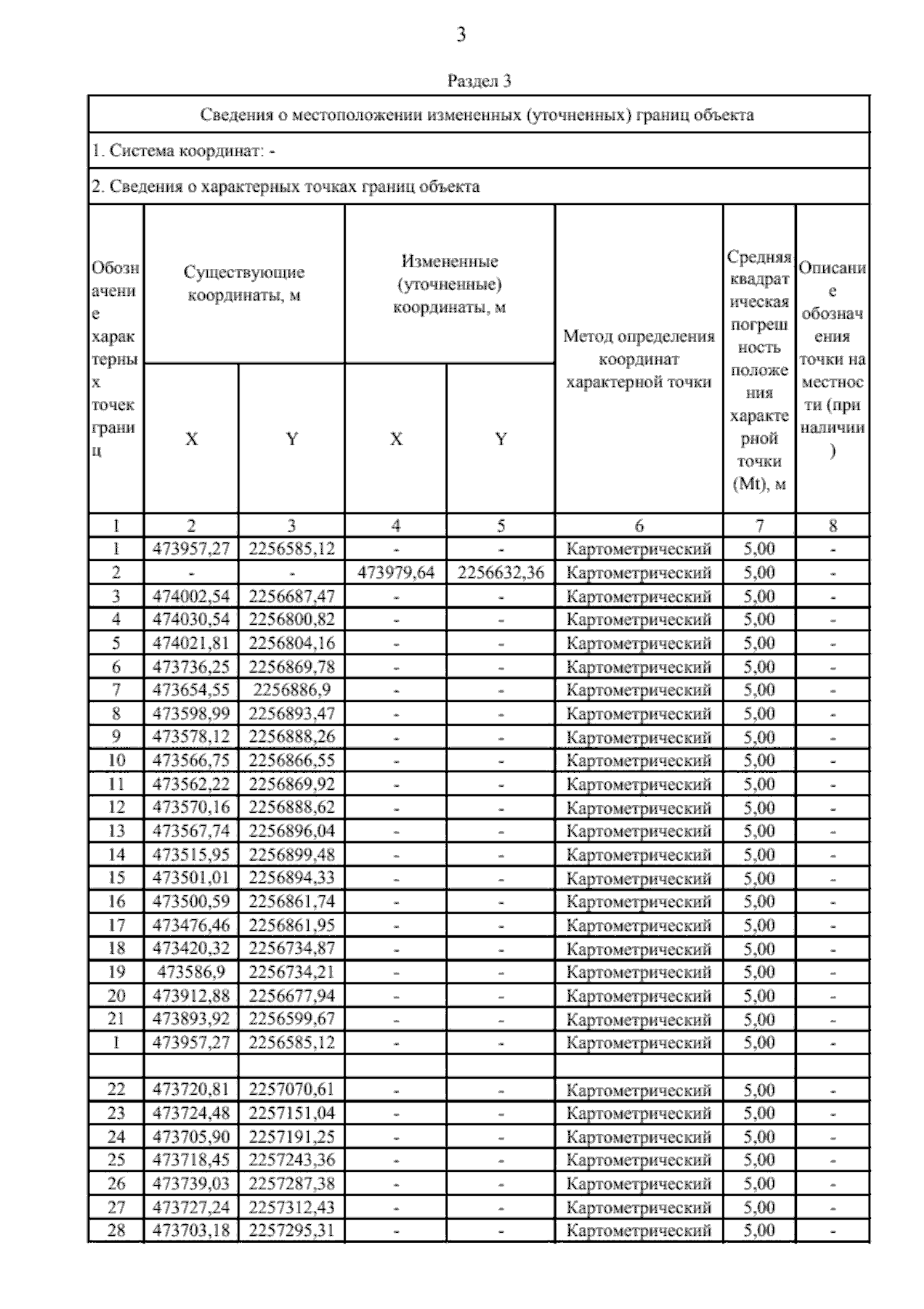
Приказ министерства архитектуры и градостроительства Воронежской области от 13.03.2026 № 45-01-04/110
"О внесении изменений в правила землепользования и застройки Кутковского сельского поселения Грибановского муниципального района Воронежской области"
(Зарегистрирован 27.03.2026 № 303)
Номер опубликования: 3601202604030004
Дата опубликования: 03.04.2026
Страница №10 из 12:
Увеличить