Официальное опубликование правовых актов
ОФИЦИАЛЬНОЕ ОПУБЛИКОВАНИЕ
Приказ управления по охране объектов культурного наследия Воронежской области от 09.02.2026 № 71-01-05/19
"О внесении изменений в приказ управления по охране объектов культурного наследия Воронежской области от 12.11.2019 № 71-01-07/286"
(Зарегистрирован 04.03.2026 № 160)
Номер опубликования: 3601202603100012
Дата опубликования: 10.03.2026
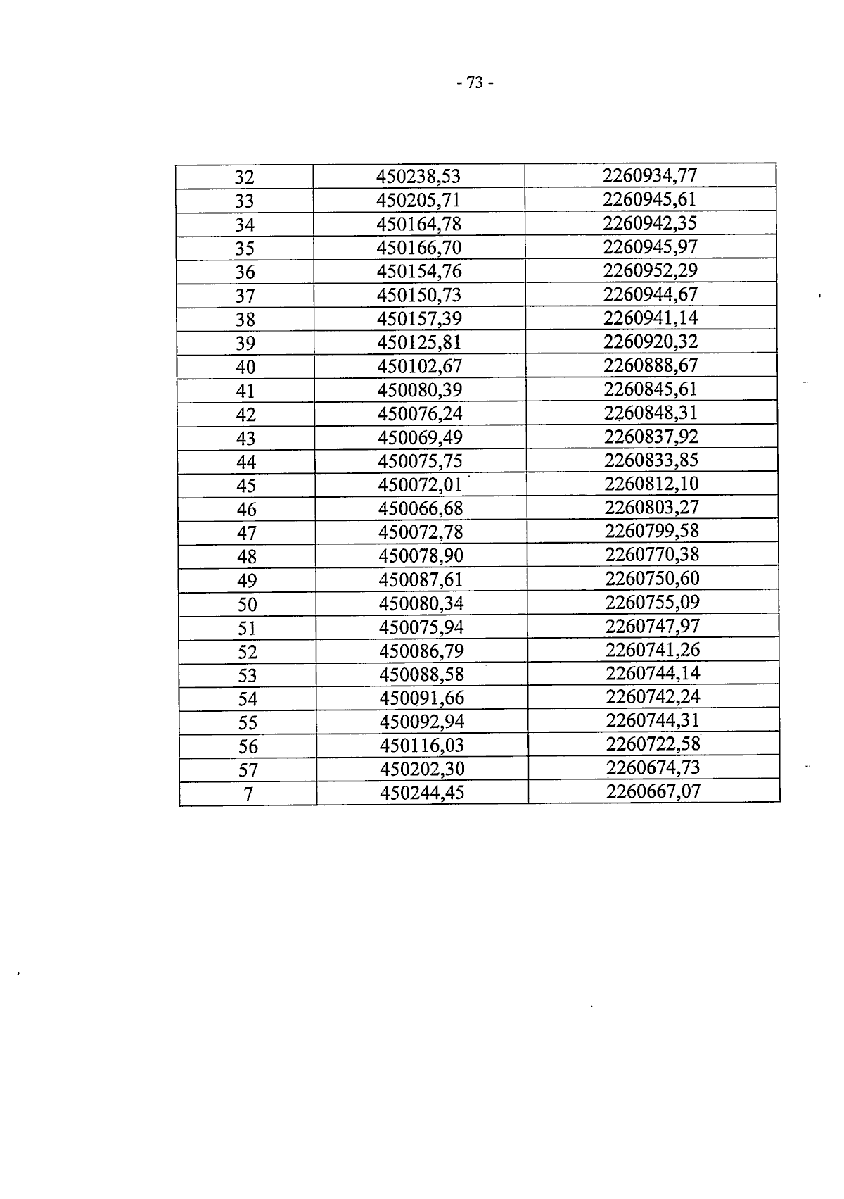
Страница №73 из 85:
Увеличить