Официальное опубликование правовых актов
ОФИЦИАЛЬНОЕ ОПУБЛИКОВАНИЕ
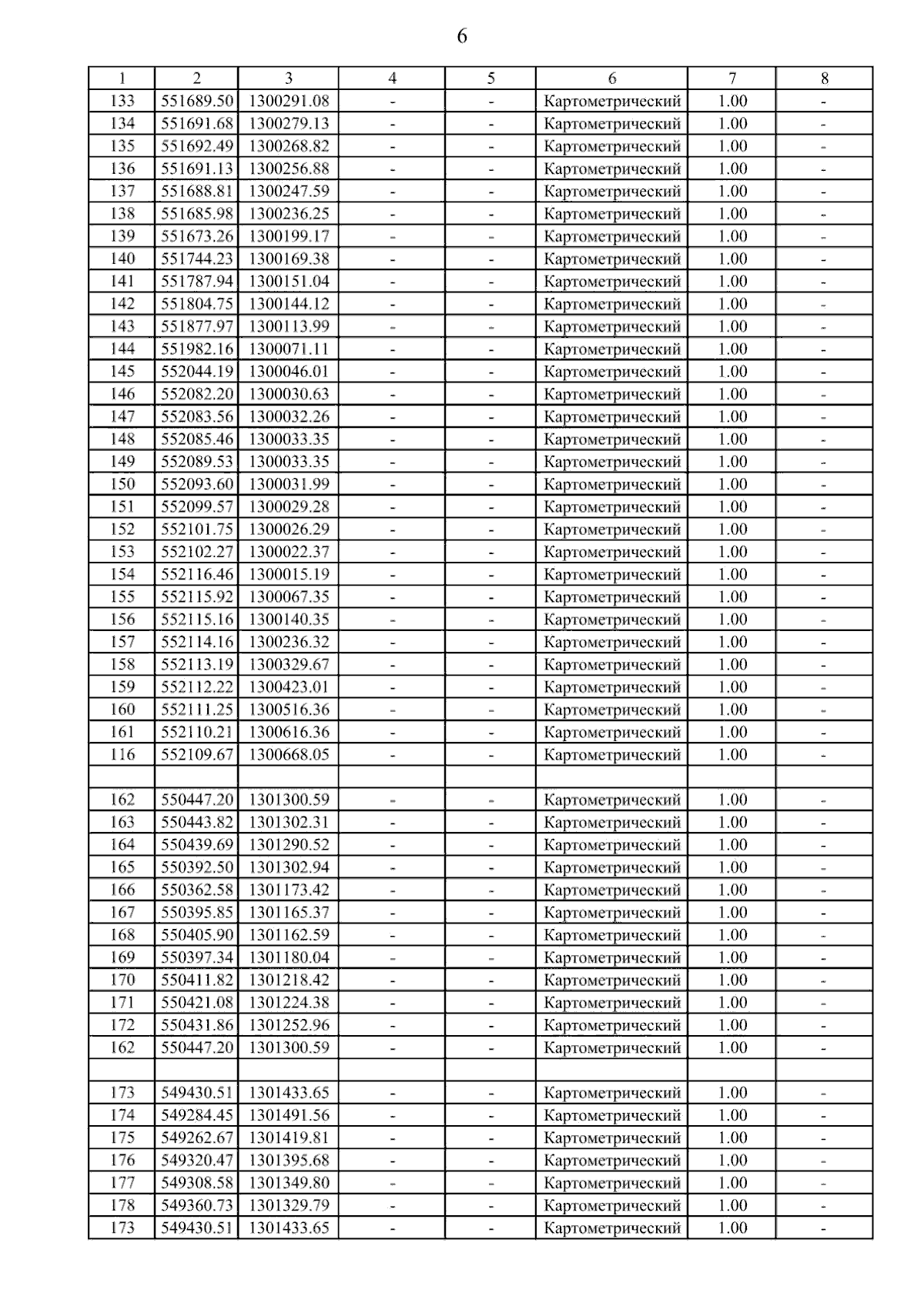
Приказ министерства архитектуры и градостроительства Воронежской области от 04.02.2026 № 45-01-04/31
"О внесении изменений в правила землепользования и застройки Комсомольского сельского поселения Рамонского муниципального района Воронежской области"
(Зарегистрирован 26.02.2026 № 140)
Номер опубликования: 3601202602270004
Дата опубликования: 27.02.2026
Страница №16 из 42:
Увеличить