Официальное опубликование правовых актов
ОФИЦИАЛЬНОЕ ОПУБЛИКОВАНИЕ
Приказ министерства архитектуры и градостроительства Воронежской области от 16.12.2025 № 45-01-04/603
"О внесении изменений в правила землепользования и застройки Каменно-Степного сельского поселения Таловского муниципального района Воронежской области"
(Зарегистрирован 15.01.2026 № 2050)
Номер опубликования: 3601202601210003
Дата опубликования: 21.01.2026
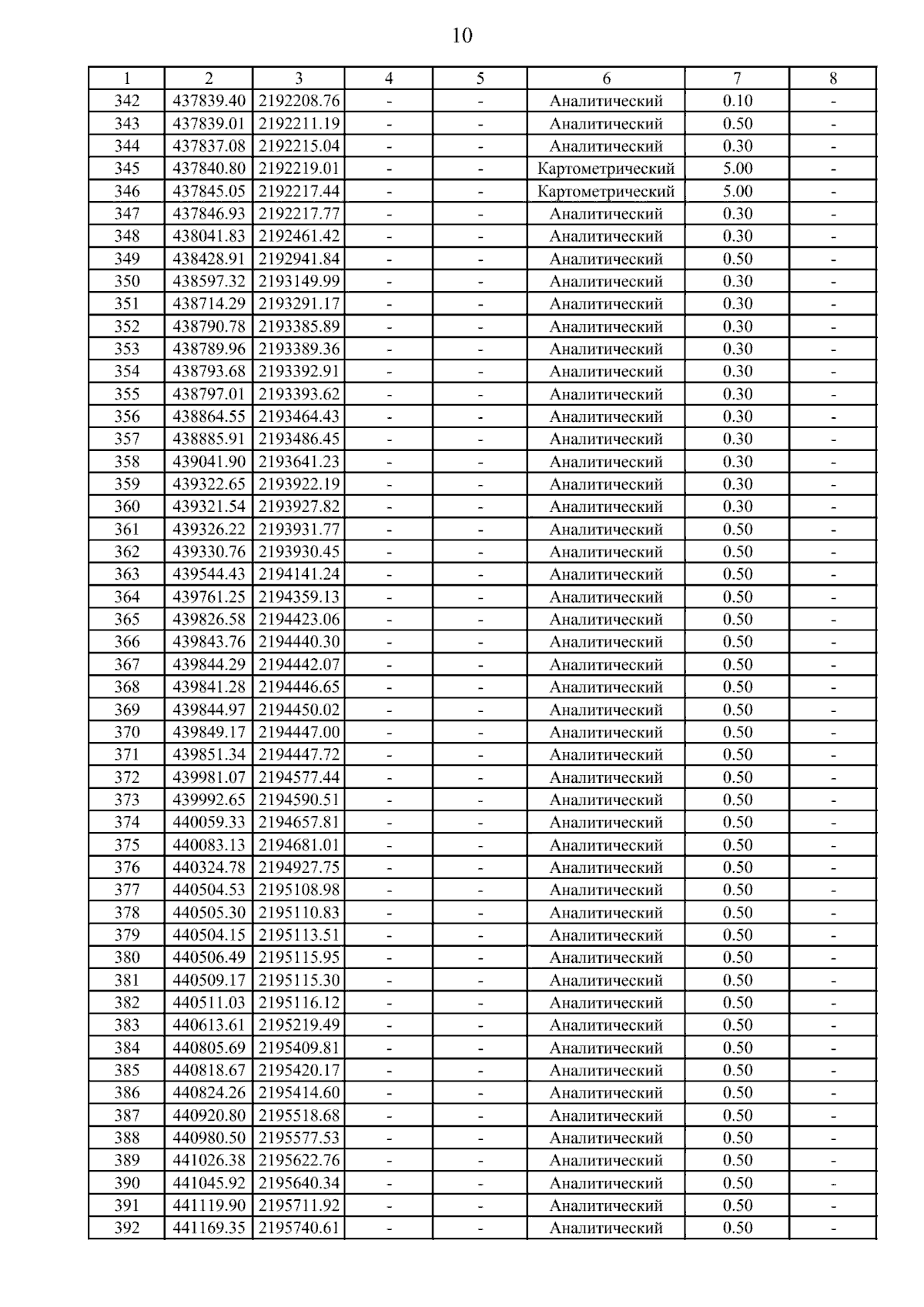
Страница №47 из 59:
Увеличить