Официальное опубликование правовых актов
ОФИЦИАЛЬНОЕ ОПУБЛИКОВАНИЕ
Приказ министерства архитектуры и градостроительства Воронежской области от 28.03.2025 № 45-01-04/183
"О внесении изменений в правила землепользования и застройки Ячейского сельского поселения Эртильского муниципального района Воронежской области"
(Зарегистрирован 16.04.2025 № 429)
Номер опубликования: 3601202504210017
Дата опубликования: 21.04.2025
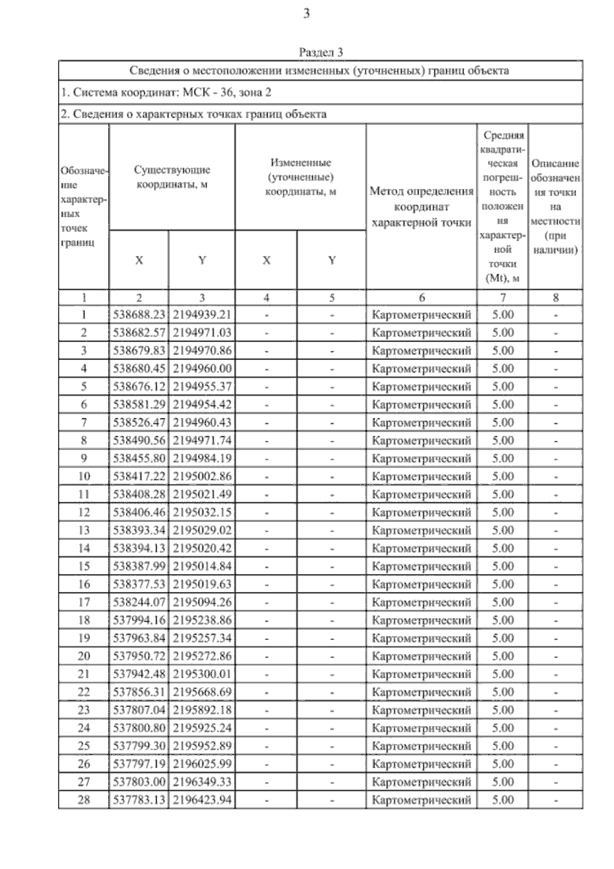
Страница №70 из 82:
Увеличить