Официальное опубликование правовых актов
ОФИЦИАЛЬНОЕ ОПУБЛИКОВАНИЕ
Приказ Министерства природопользования и экологии Владимирской области от 18.12.2025 № 86-н
"О внесении изменений в приказ Министерства природопользования от 14.10.2024 № 75-н"
(Зарегистрирован 18.12.2025 № МПЭ2025-086)
Номер опубликования: 3301202512190003
Дата опубликования: 19.12.2025
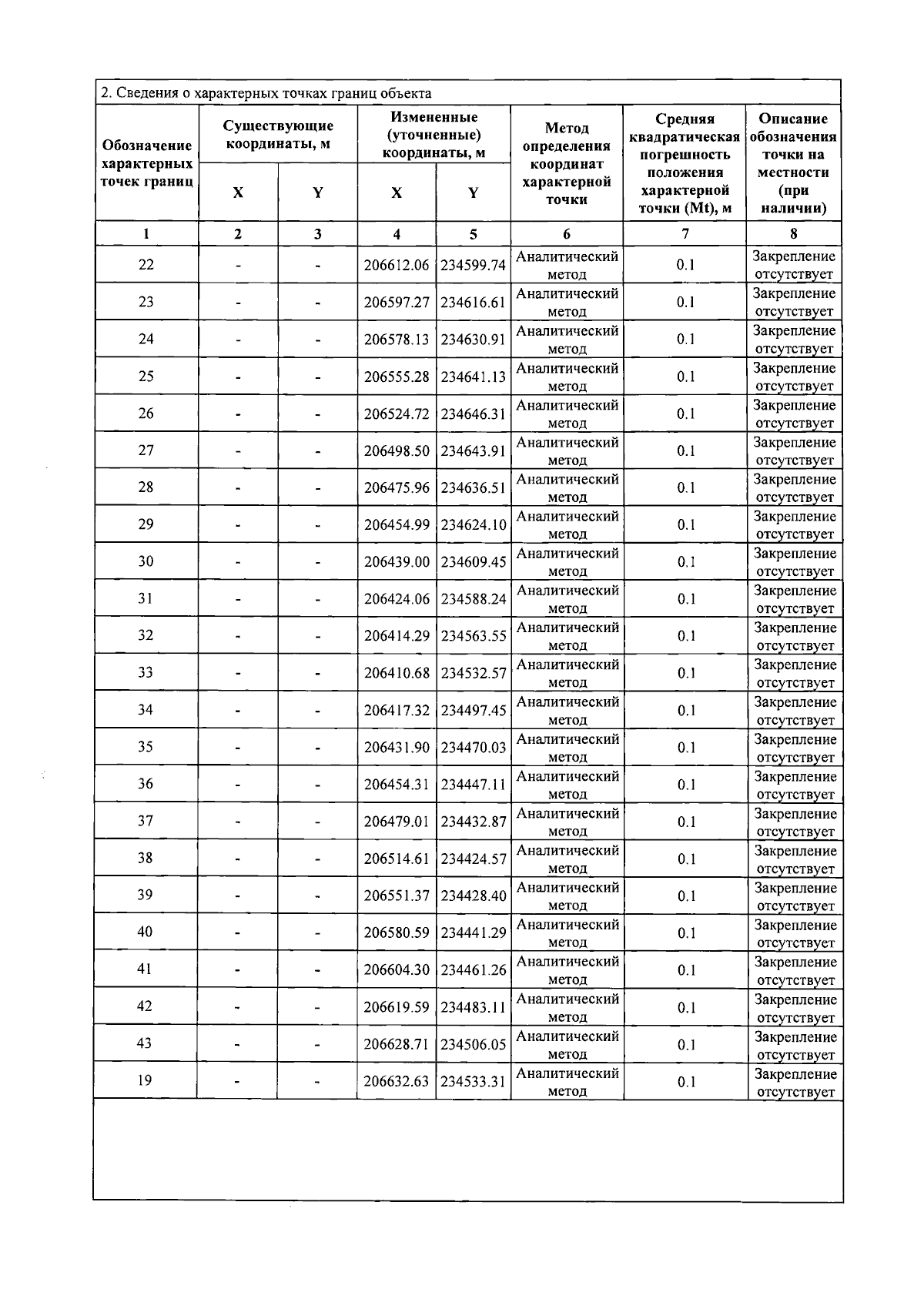
Страница №30 из 60:
Увеличить