Официальное опубликование правовых актов
ОФИЦИАЛЬНОЕ ОПУБЛИКОВАНИЕ
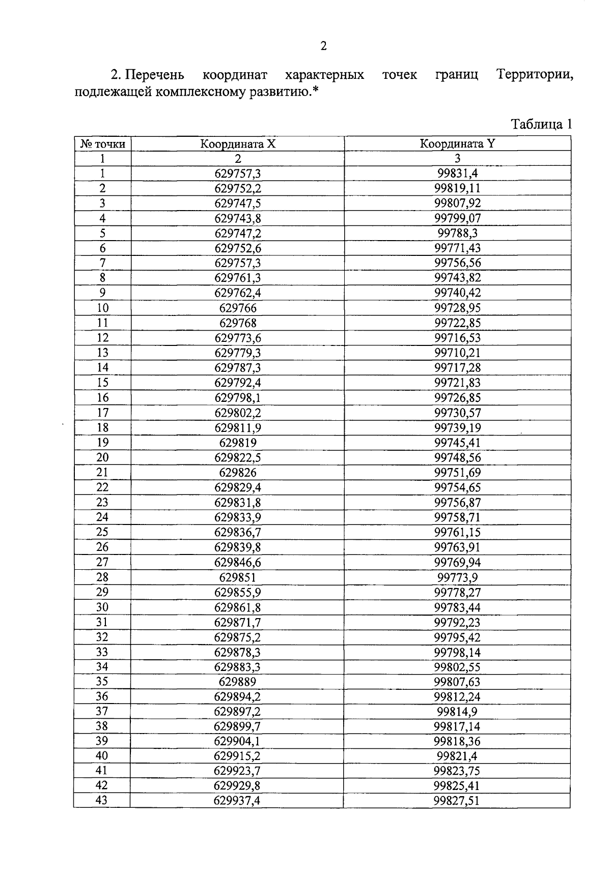
Постановление Правительства Красноярского края от 03.06.2025 № 473-п
"О принятии решения о комплексном развитии незастроенной территории в районе Предмостной площади города Красноярска общей площадью 49 407,67 кв. м"
Номер опубликования: 2400202506070018
Дата опубликования: 07.06.2025
Страница №4 из 10:
Увеличить