Официальное опубликование правовых актов
ОФИЦИАЛЬНОЕ ОПУБЛИКОВАНИЕ
Закон Красноярского края от 22.12.2022 № 4-1427
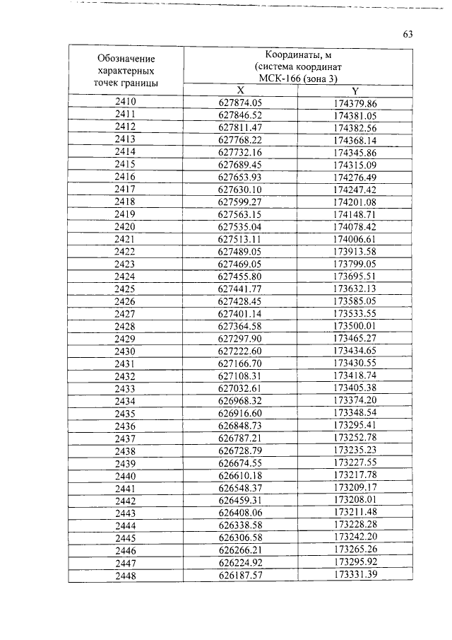
"О внесении изменений в Закон края "Об установлении границ и наделении соответствующим статусом муниципального образования Назаровский район и находящихся в его границах иных муниципальных образований" (принят Законодательным Собранием Красноярского края 22.12.2022, подписан Губернатором Красноярского края 28.12.2022)
Номер опубликования: 2400202212300023
Дата опубликования: 30.12.2022
Страница №754 из 908:
Увеличить