Официальное опубликование правовых актов
ОФИЦИАЛЬНОЕ ОПУБЛИКОВАНИЕ
Приказ администрации Краснодарского края от 24.02.2026 № 165-КН
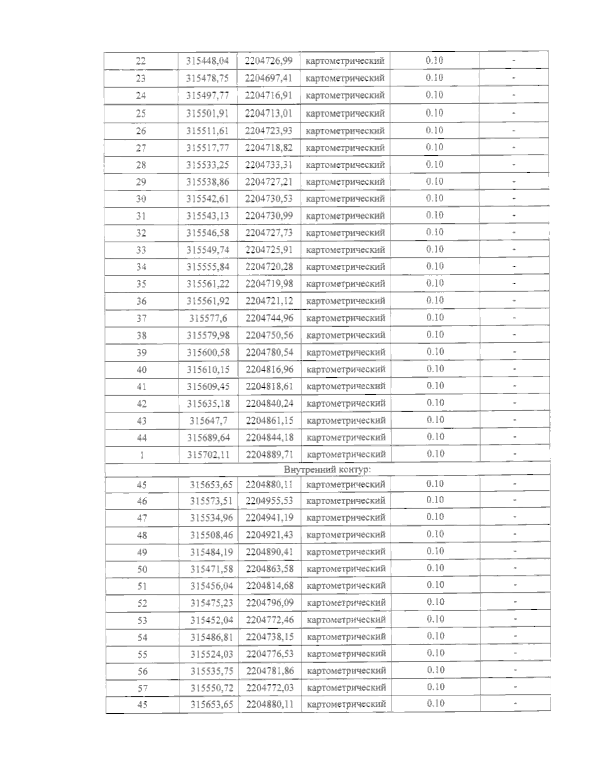
"Об установлении зон охраны, утверждении режимов использования земель и требований к градостроительным регламентам в границах территорий данных зон объекта культурного наследия регионального значения "Здание водолечебницы № 4", 1940 г., Краснодарский край, г. Сочи, Хостинский район (Старая Мацеста), пер. Лечебный, 2"
Номер опубликования: 2301202603020004
Дата опубликования: 02.03.2026
Страница №6 из 15:
Увеличить