Официальное опубликование правовых актов
ОФИЦИАЛЬНОЕ ОПУБЛИКОВАНИЕ
Приказ администрации Краснодарского края от 24.10.2025 № 1386-КН
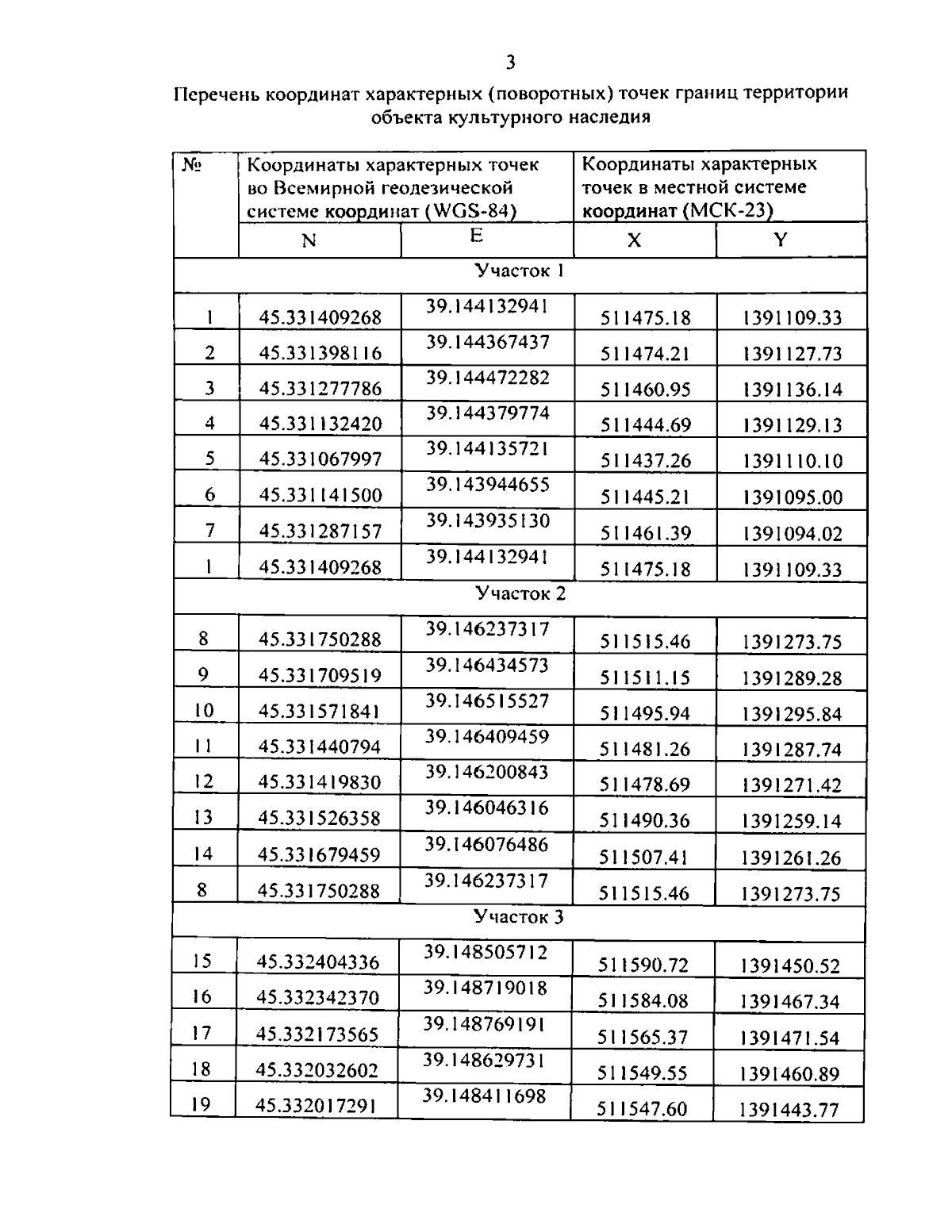
"Об утверждении границ и режима использования территории объекта культурного наследия федерального значения "Курганная группа "Старомышастовская 17" (4 насыпи)", эпоха бронзы – позднее средневековье, Краснодарский край, Динской район, ст–ца Старомышастовская, 2,26 км к востоку от юго–восточного угла станицы"
Номер опубликования: 2301202510280004
Дата опубликования: 28.10.2025
Страница №5 из 7:
Увеличить