Официальное опубликование правовых актов
ОФИЦИАЛЬНОЕ ОПУБЛИКОВАНИЕ
Приказ администрации Краснодарского края от 17.01.2019 № 6-КН
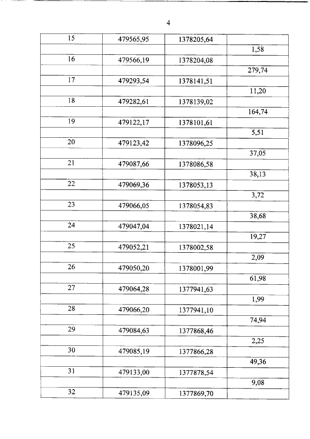
"Об утверждении границ территории и зон охраны объекта культурного наследия регионального значения "Ансамбль Всесвятского кладбища", конец XIX в. – начало XX в., Краснодарский край, г. Краснодар, в границах: ул. Северной, ул. Аэродромной, ул. им. Бабушкина, ул. Рашпилевской: справа от ворот; слева от ворот; вход с ул. Рашпилевской"
Номер опубликования: 2301201901240001
Дата опубликования: 24.01.2019
Страница №6 из 19:
Увеличить