Официальное опубликование правовых актов
ОФИЦИАЛЬНОЕ ОПУБЛИКОВАНИЕ
Приказ Министерства природных ресурсов и экологии Алтайского края от 06.04.2026 № 392
"Об изменении зон санитарной охраны подземных источников питьевого и хозяйственно-бытового водоснабжения населения поселка Лесной города Барнаула Алтайского края"
(Зарегистрирован 06.04.2026 № 412)
Номер опубликования: 2201202604060006
Дата опубликования: 06.04.2026
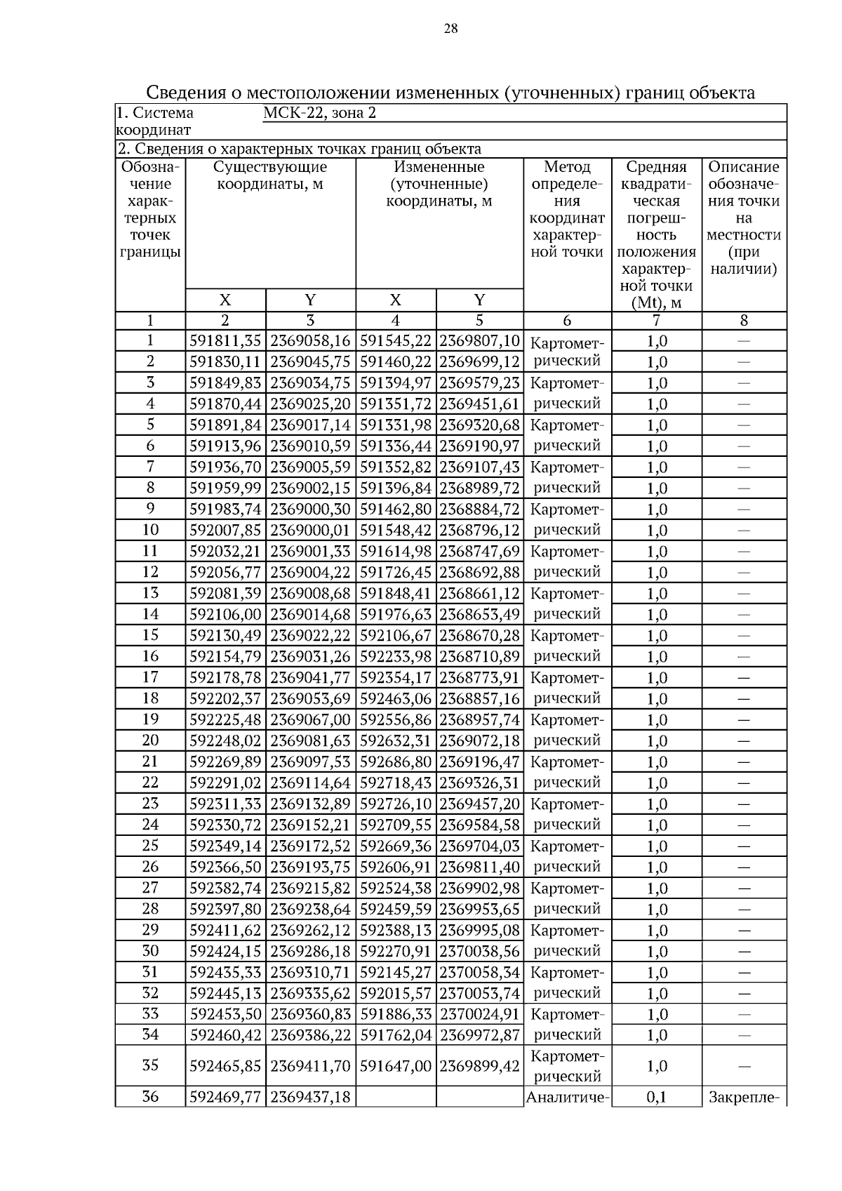
Страница №28 из 36:
Увеличить