Официальное опубликование правовых актов
ОФИЦИАЛЬНОЕ ОПУБЛИКОВАНИЕ
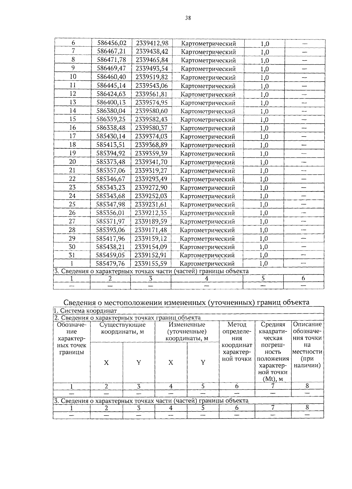
Приказ Министерства природных ресурсов и экологии Алтайского края от 29.10.2025 № 1190
"Об установлении зон санитарной охраны подземных источников питьевого и хозяйственно-бытового водоснабжения населения поселков Комсомольский, Озерный, Урожайный Павловского района Алтайского края"
(Зарегистрирован 29.10.2025 № 1561)
Номер опубликования: 2201202510300006
Дата опубликования: 30.10.2025
Страница №38 из 39:
Увеличить