Официальное опубликование правовых актов
ОФИЦИАЛЬНОЕ ОПУБЛИКОВАНИЕ
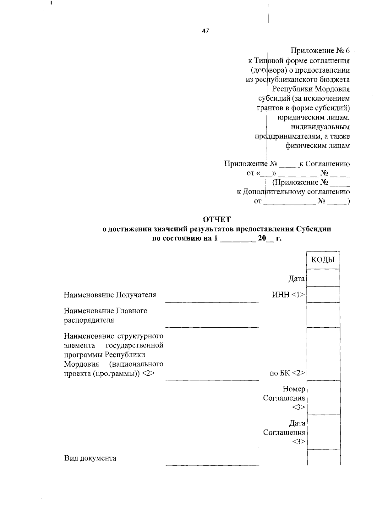
Приказ Министерства финансов Республики Мордовия от 22.08.2025 № 118
"Об утверждении типовой формы соглашения (договора) о представлении из республиканского бюджета Республики Мордовия субсидий (за исключением грантов в форме субсидий) юридическим лицам, индивидуальным предпринимателям, а также физическим лицам"
(Зарегистрирован 22.08.2025 № 122025017)
Номер опубликования: 1301202508260001
Дата опубликования: 26.08.2025
Страница №47 из 86:
Увеличить