Официальное опубликование правовых актов
ОФИЦИАЛЬНОЕ ОПУБЛИКОВАНИЕ
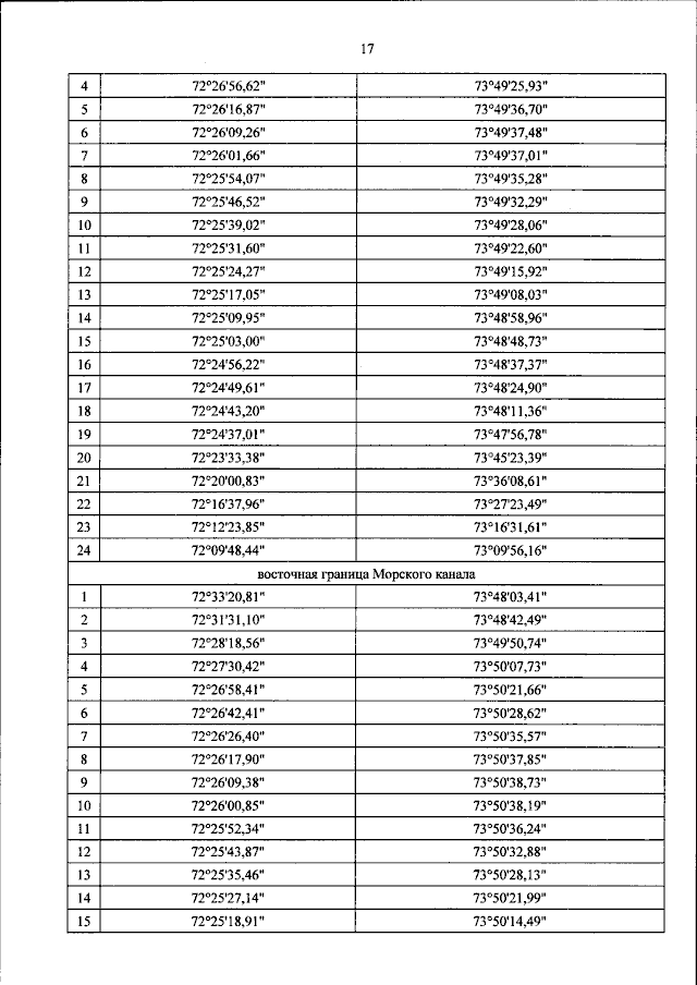
Приказ Министерства транспорта Российской Федерации от 10.10.2025 № 324
"О внесении изменений в Обязательные постановления в морском порту Сабетта, утвержденные приказом Министерства транспорта Российской Федерации от 21 января 2016 г. № 9"
(Зарегистрирован 27.11.2025 № 84308)
Номер опубликования: 0001202511270029
Дата опубликования: 27.11.2025
Страница №18 из 20:
Увеличить