Официальное опубликование правовых актов
ОФИЦИАЛЬНОЕ ОПУБЛИКОВАНИЕ
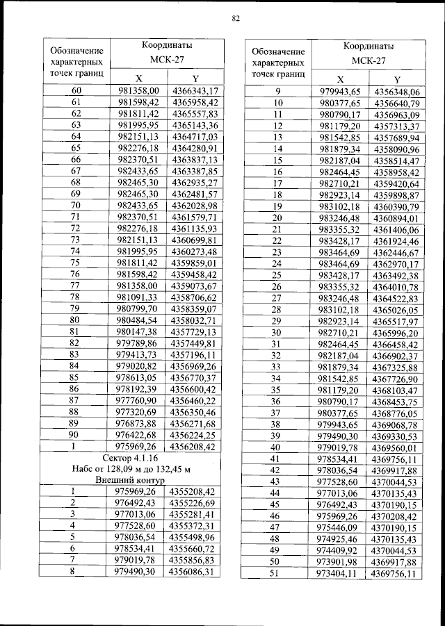
Приказ Федерального агентства воздушного транспорта от 17.01.2025 № 14-П
"Об установлении приаэродромной территории аэродрома гражданской авиации Николаевск-на-Амуре"
(Зарегистрирован 17.02.2025 № 81278)
Номер опубликования: 0001202502180015
Дата опубликования: 18.02.2025
Страница №83 из 203:
Увеличить