Официальное опубликование правовых актов
ОФИЦИАЛЬНОЕ ОПУБЛИКОВАНИЕ
Приказ Министерства культуры Российской Федерации от 13.08.2024 № 1542
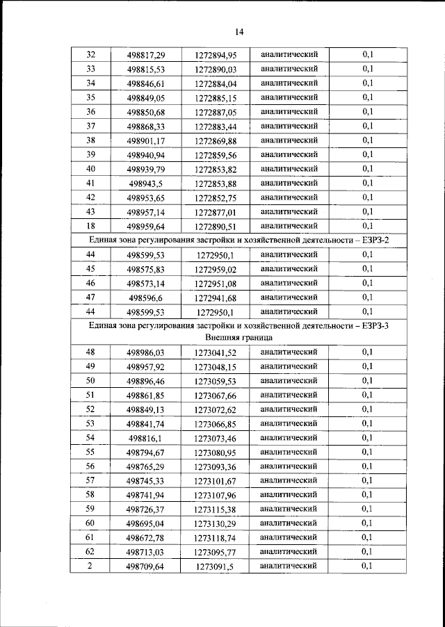
"Об утверждении границ объединенной зоны охраны объекта культурного наследия федерального значения "Церковь Покрова от Пролома", ХV - ХVI вв. (Псковская область), включенного в Список всемирного наследия и отнесенного к особо ценным объектам культурного наследия народов Российской Федерации, и объекта культурного наследия федерального значения "Покровская башня", ХV в., входящего в состав объекта культурного наследия федерального значения "Комплекс крепостных сооружений Окольного города", ХV - ХVI вв. (Псковская область), отнесенного к особо ценным объектам культурного наследия народов Российской Федерации, особых режимов использования земель и требований к градостроительным регламентам в границах территории данной зоны"
(Зарегистрирован 13.11.2024 № 80147)
Номер опубликования: 0001202411140023
Дата опубликования: 14.11.2024
Страница №14 из 31:
Увеличить