Официальное опубликование правовых актов
ОФИЦИАЛЬНОЕ ОПУБЛИКОВАНИЕ
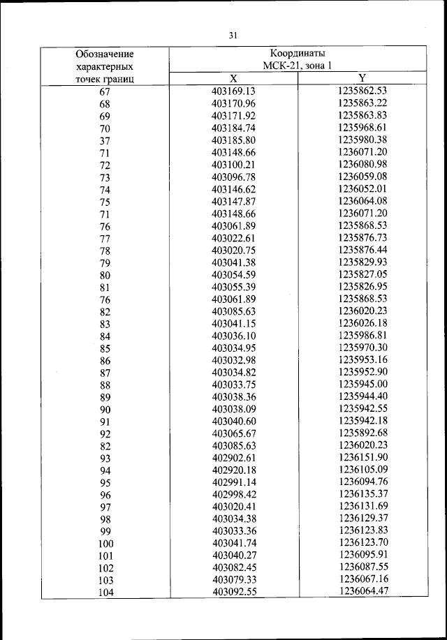
Приказ Федерального агентства воздушного транспорта от 21.08.2023 № 684-П
"Об установлении приаэродромной территории аэродрома гражданской авиации Чебоксары"
(Зарегистрирован 18.09.2023 № 75255)
Номер опубликования: 0001202309180018
Дата опубликования: 18.09.2023
Страница №32 из 261:
Увеличить