Официальное опубликование правовых актов
ОФИЦИАЛЬНОЕ ОПУБЛИКОВАНИЕ
Постановление Правительства Севастополя от 24.10.2025 № 503-ПП
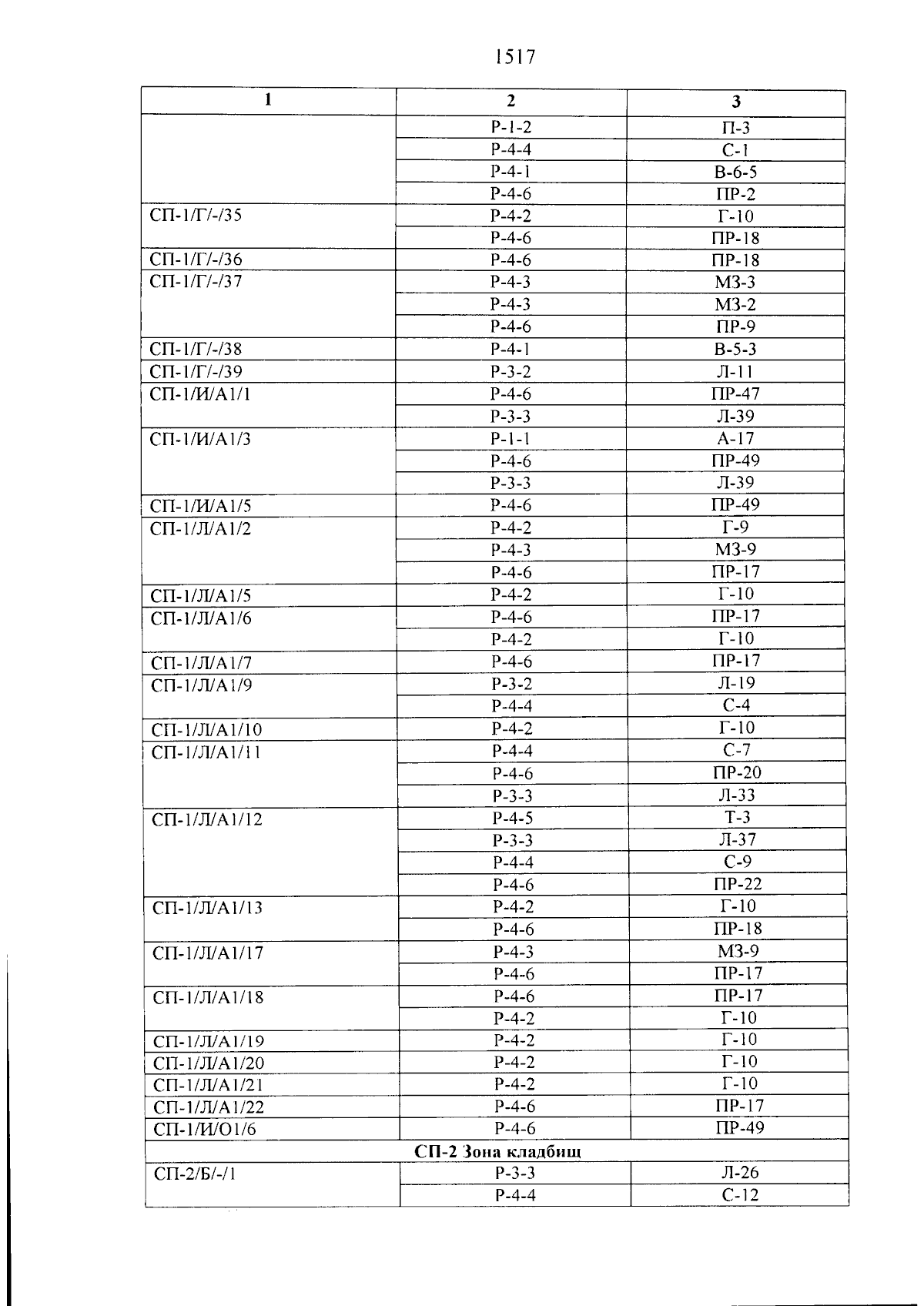
"О внесении изменений в постановление Правительства Севастополя от 29.12.2022 № 730-ПП "Об утверждении Правил землепользования и застройки города федерального значения Севастополя применительно к части территории города в границах внутригородских муниципальных образований: Ленинского, Гагаринского, Нахимовского, Балаклавского муниципальных округов и города Инкермана"
Номер опубликования: 9200202511010013
Дата опубликования: 01.11.2025
Страница №1518 из 1541:
Увеличить