Официальное опубликование правовых актов
ОФИЦИАЛЬНОЕ ОПУБЛИКОВАНИЕ
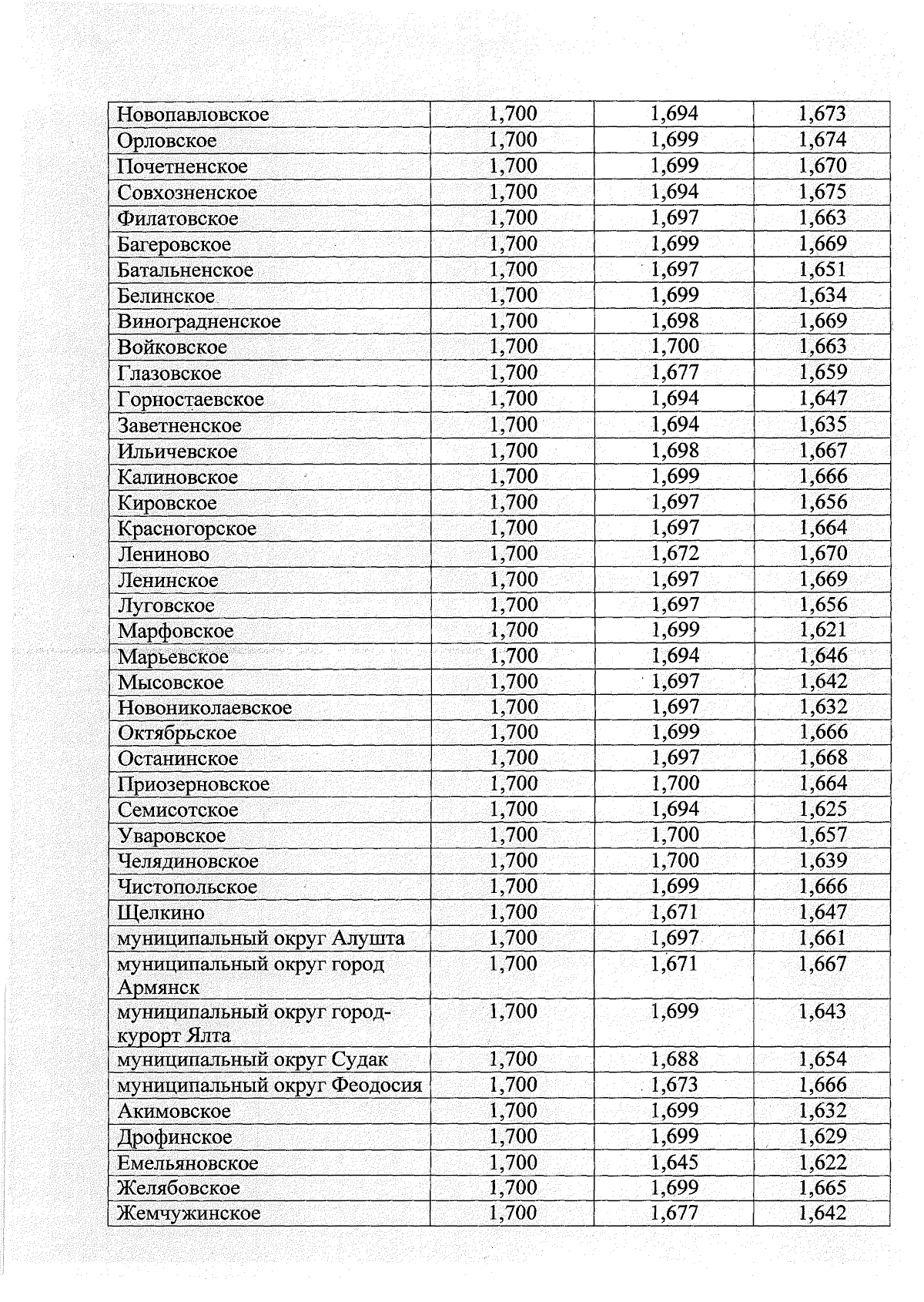
Приказ Государственного комитета по ценам и тарифам Республики Крым от 20.04.2026 № 37-од
"Об утверждении результатов мониторинга соблюдения предельных индексов изменения размера платы граждан за коммунальные услуги на территории Республики Крым за март 2026 года"
(Зарегистрирован 23.04.2026 № 3562)
Номер опубликования: 9101202604240001
Дата опубликования: 24.04.2026
Страница №5 из 8:
Увеличить