Официальное опубликование правовых актов
ОФИЦИАЛЬНОЕ ОПУБЛИКОВАНИЕ
Приказ Министерства культуры Республики Крым от 27.03.2026 № 361-ОКН
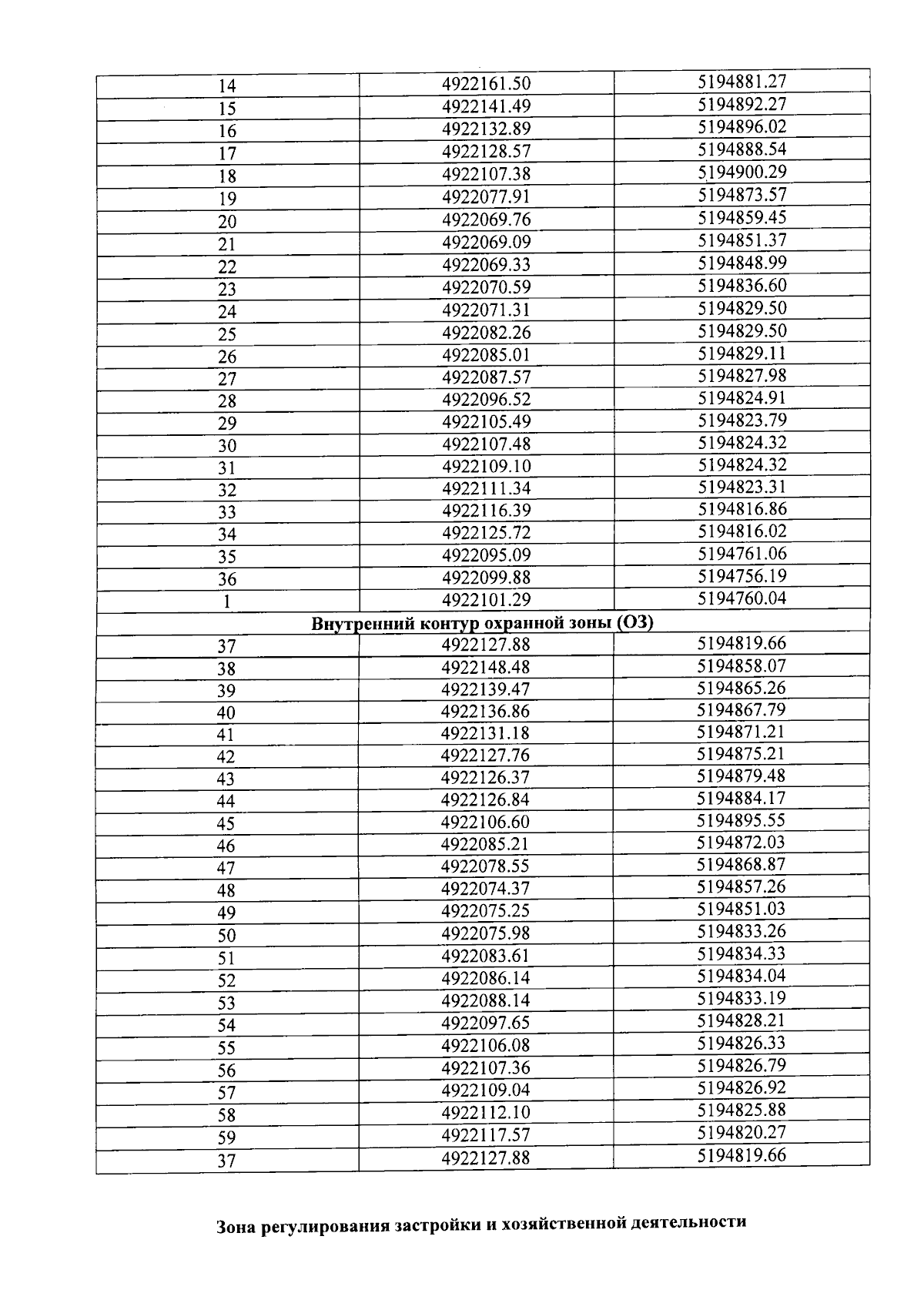
"Об утверждении границ зон охраны, режимов использования земель и требований к градостроительным регламентам в границах зон охраны объекта культурного наследия регионального значения "Вилла "Кучук-Уч-Чам" В.И. Сазонова", начало XX века, расположенного по адресу: Республика Крым, г. Ялта, ул. Свердлова, 34, литер "Б1"
(Зарегистрирован 30.03.2026 № 3472)
Номер опубликования: 9101202604010010
Дата опубликования: 01.04.2026
Страница №6 из 22:
Увеличить