Официальное опубликование правовых актов
ОФИЦИАЛЬНОЕ ОПУБЛИКОВАНИЕ
Приказ Министерства культуры Республики Крым от 27.03.2026 № 369-ОКН
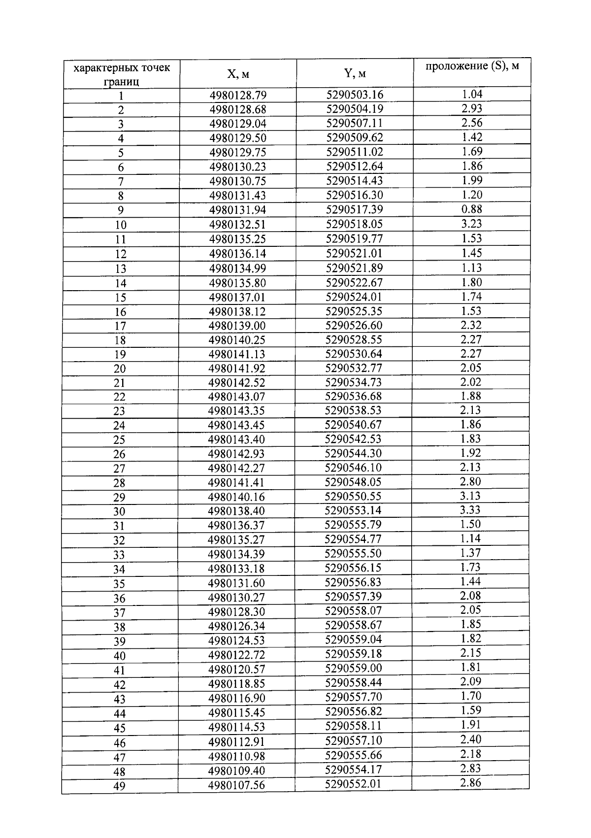
"Об утверждении границ территории, режимов использования земель в границах территории объекта культурного наследия регионального значения "Собор Казанской иконы Божией Матери (архитектор Г.Л. Кейль)", начало XX века, расположенного по адресу: Республика Крым, г. Феодосия, ул. Карла Маркса, 52 (литер "А")"
(Зарегистрирован 30.03.2026 № 3480)
Номер опубликования: 9101202604010009
Дата опубликования: 01.04.2026
Страница №6 из 10:
Увеличить