Официальное опубликование правовых актов
ОФИЦИАЛЬНОЕ ОПУБЛИКОВАНИЕ
Приказ Министерства культуры Республики Крым от 19.02.2026 № 199-ОКН
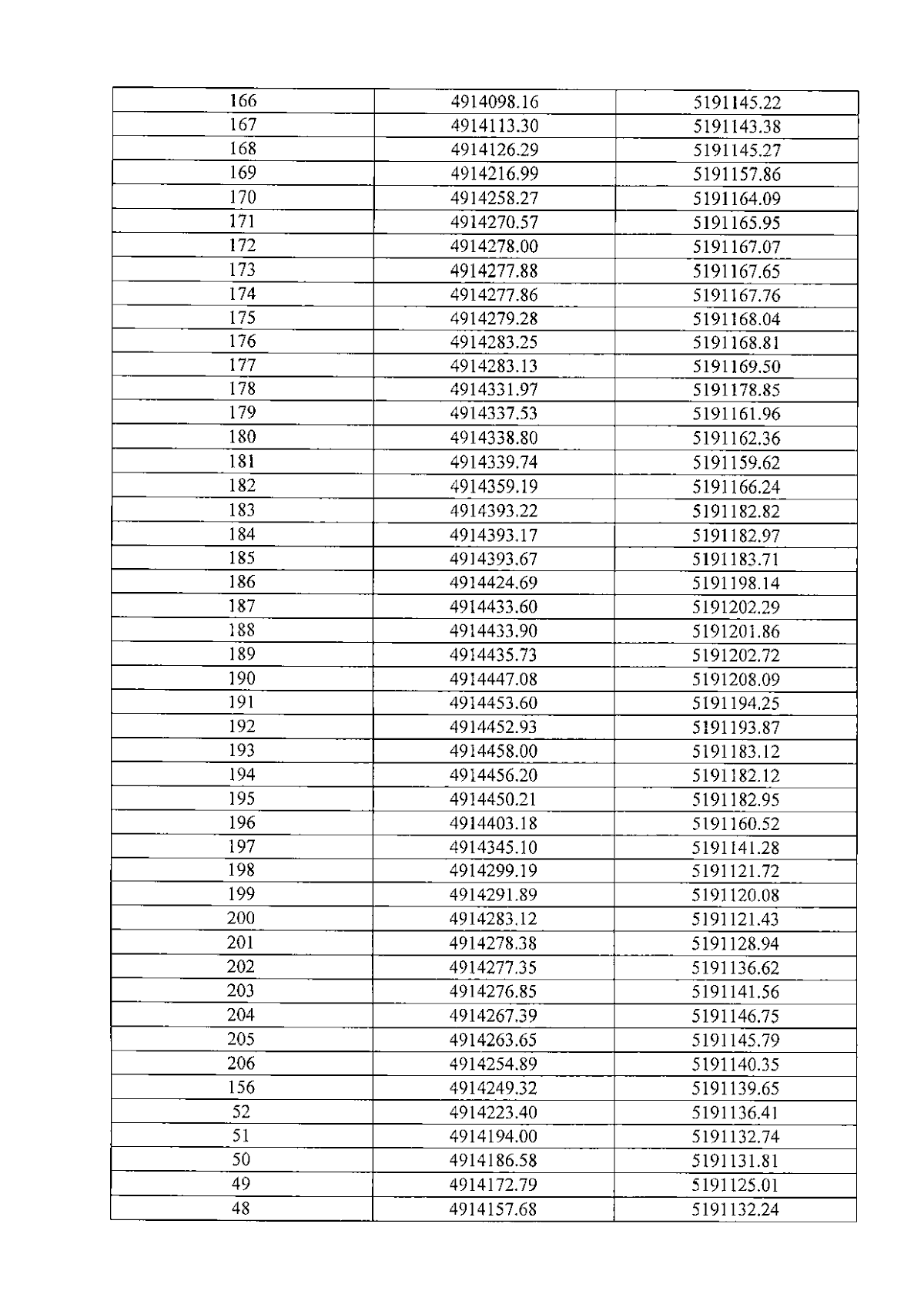
"Об утверждении границ зон охраны, режимов использования земель и требований к градостроительным регламентам в границах зон охраны объекта культурного наследия федерального значения "Дача Кичкинэ" начало XX века, расположенного по адресу: Республика Крым, городской округ Ялта, пгт Гаспра, ул. Алупкинское шоссе, д. 1, литера "В"
(Зарегистрирован 24.02.2026 № 3317)
Номер опубликования: 9101202602260006
Дата опубликования: 26.02.2026
Страница №20 из 40:
Увеличить