Официальное опубликование правовых актов
ОФИЦИАЛЬНОЕ ОПУБЛИКОВАНИЕ
Приказ Министерства культуры Республики Крым от 12.12.2025 № 803-ОКН
"Об утверждении границ зон охраны, режимов использования земель и требований к градостроительным регламентам в границах зон охраны объекта культурного наследия регионального значения "Особняк", начало XX века по адресу: Республика Крым, г. Симферополь, ул. Киевская, 46/ул. Фрунзе, 8, литер "Б"
(Зарегистрирован 15.12.2025 № 3080)
Номер опубликования: 9101202512160018
Дата опубликования: 16.12.2025
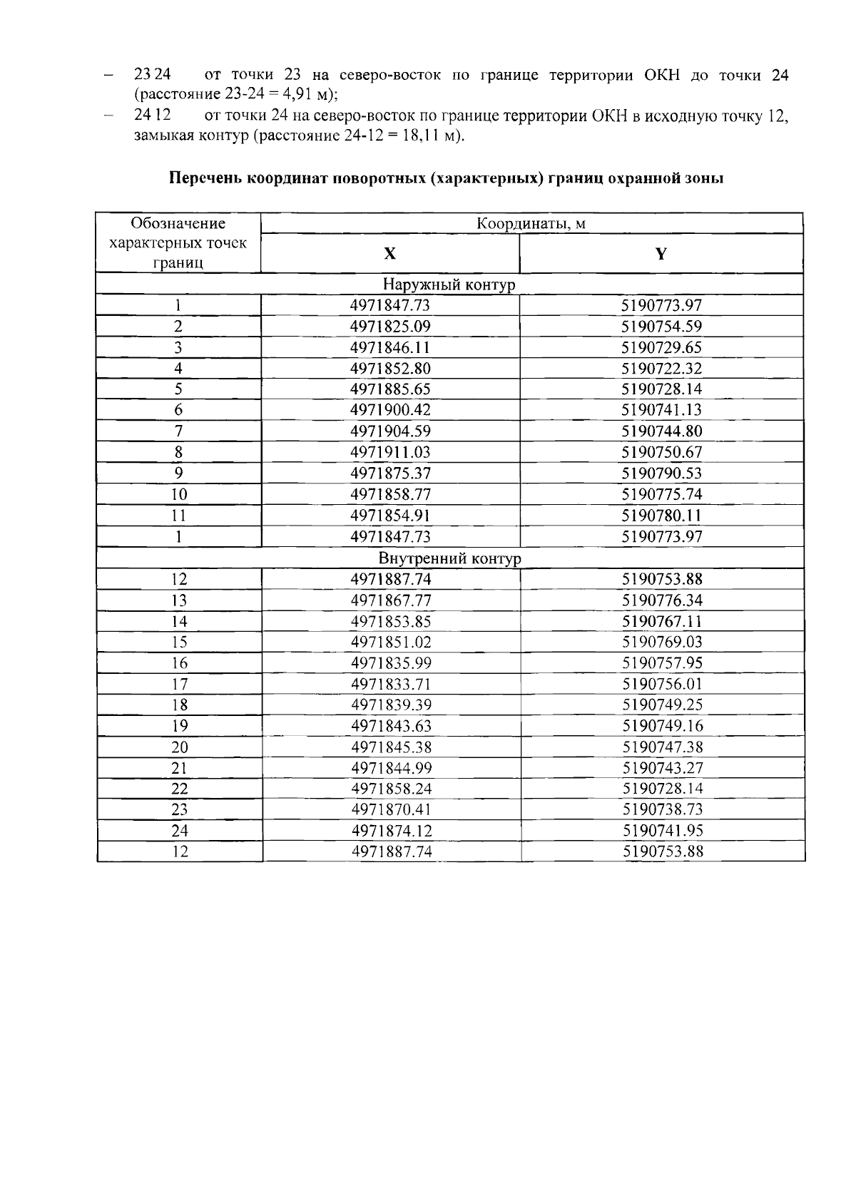
Страница №4 из 12:
Увеличить