Официальное опубликование правовых актов
ОФИЦИАЛЬНОЕ ОПУБЛИКОВАНИЕ
Постановление Совета министров Республики Крым от 26.12.2025 № 926
"О внесении изменений в постановление Совета министров Республики Крым от 25 декабря 2023 года № 953"
Номер опубликования: 9100202512260009
Дата опубликования: 26.12.2025
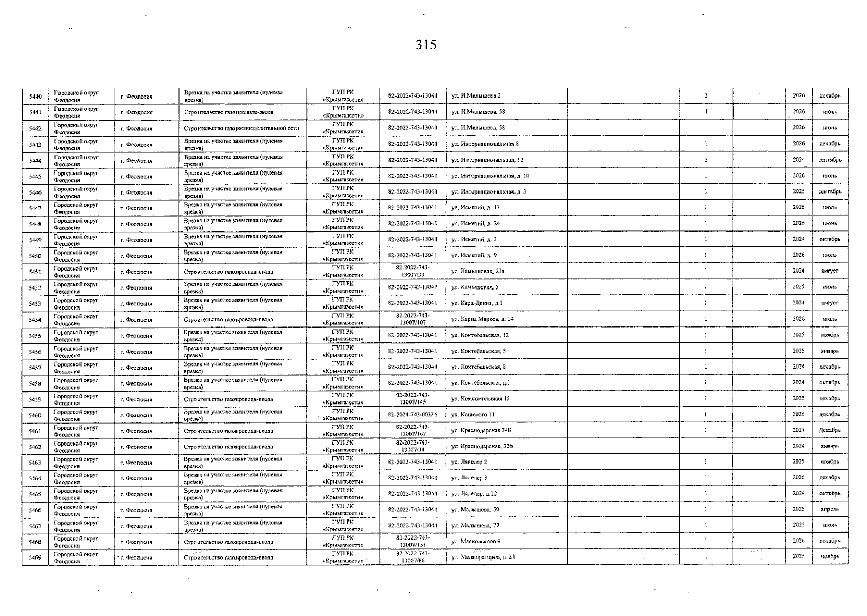
Страница №315 из 1162:
Увеличить