Официальное опубликование правовых актов
ОФИЦИАЛЬНОЕ ОПУБЛИКОВАНИЕ
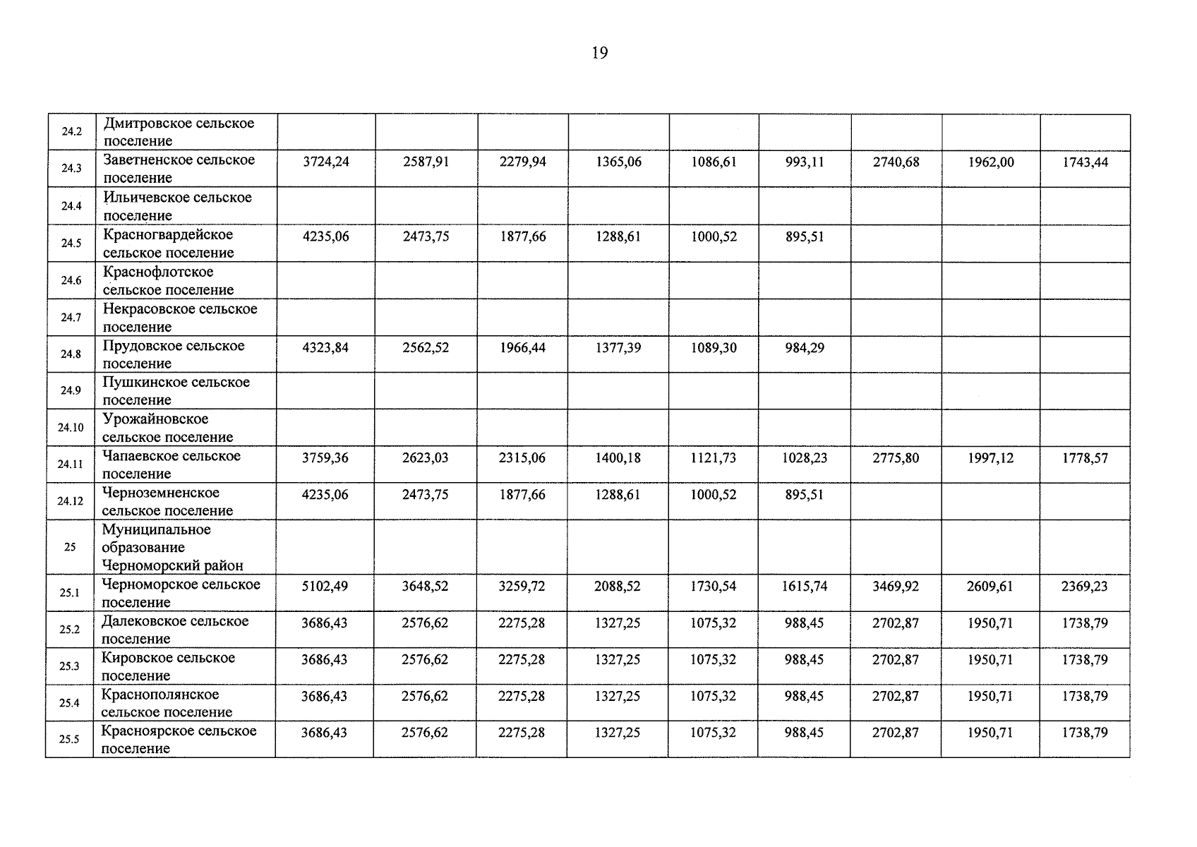
Постановление Совета министров Республики Крым от 21.10.2025 № 715
"О региональных стандартах стоимости жилищно-коммунальных услуг в Республике Крым на 2026 год"
Номер опубликования: 9100202510240002
Дата опубликования: 24.10.2025
Страница №19 из 74:
Увеличить