Официальное опубликование правовых актов
ОФИЦИАЛЬНОЕ ОПУБЛИКОВАНИЕ
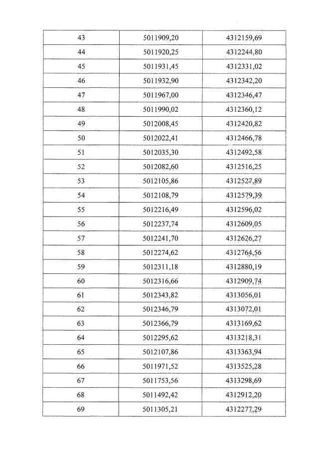
Постановление Совета министров Республики Крым от 03.02.2021 № 59
"О внесении изменений в постановление Совета министров Республики Крым от 30 мая 2017 года № 291"
Номер опубликования: 9100202102040007
Дата опубликования: 04.02.2021
Страница №195 из 370:
Увеличить