Официальное опубликование правовых актов
ОФИЦИАЛЬНОЕ ОПУБЛИКОВАНИЕ
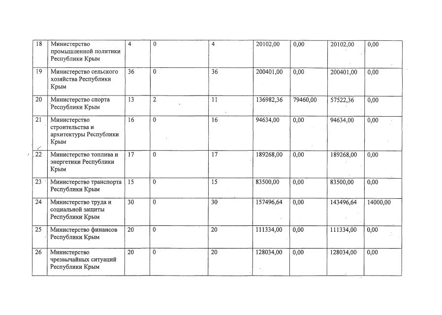
Постановление Совета министров Республики Крым от 26.01.2021 № 36
"Об утверждении государственного заказа на профессиональное развитие государственных гражданских служащих Республики Крым на 2021 год"
Номер опубликования: 9100202101290021
Дата опубликования: 29.01.2021
Страница №5 из 8:
Увеличить