Официальное опубликование правовых актов
ОФИЦИАЛЬНОЕ ОПУБЛИКОВАНИЕ
Постановление Совета министров Республики Крым от 24.12.2020 № 843
"О внесении изменений в постановление Совета министров Республики Крым от 22 ноября 2017 года № 619"
Номер опубликования: 9100202012300037
Дата опубликования: 30.12.2020
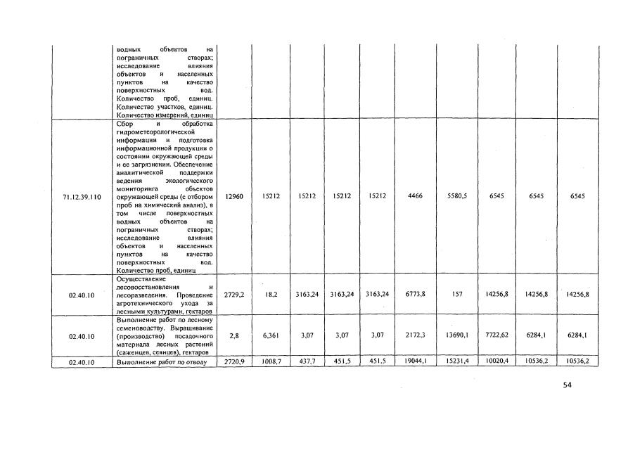
Страница №54 из 93:
Увеличить