Официальное опубликование правовых актов
ОФИЦИАЛЬНОЕ ОПУБЛИКОВАНИЕ
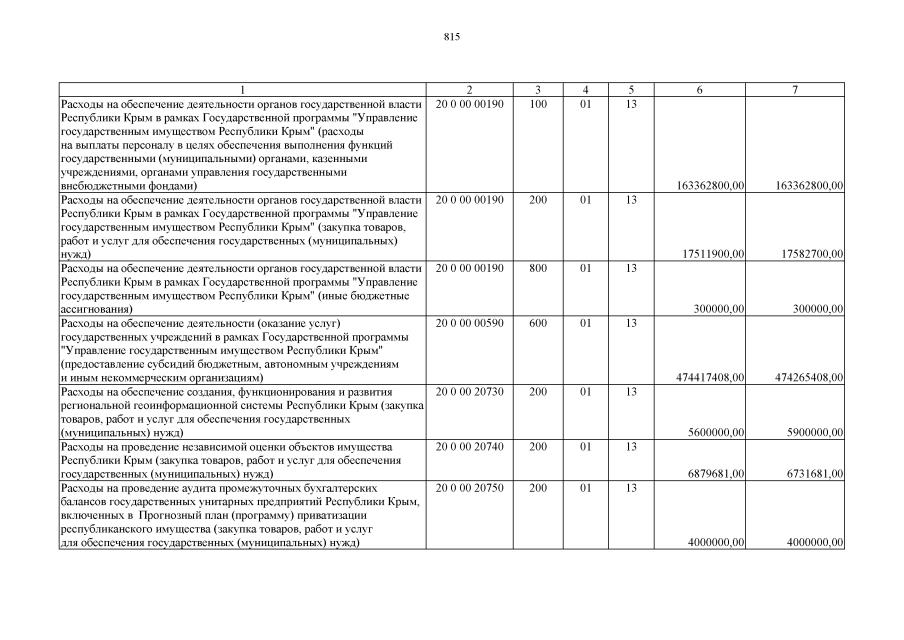
Закон Республики Крым от 15.12.2020 № 137-ЗРК/2020
"О внесении изменений в Закон Республики Крым "О бюджете Республики Крым на 2020 год и на плановый период 2021 и 2022 годов"
Номер опубликования: 9100202012180001
Дата опубликования: 18.12.2020
Страница №815 из 1085:
Увеличить