Официальное опубликование правовых актов
ОФИЦИАЛЬНОЕ ОПУБЛИКОВАНИЕ
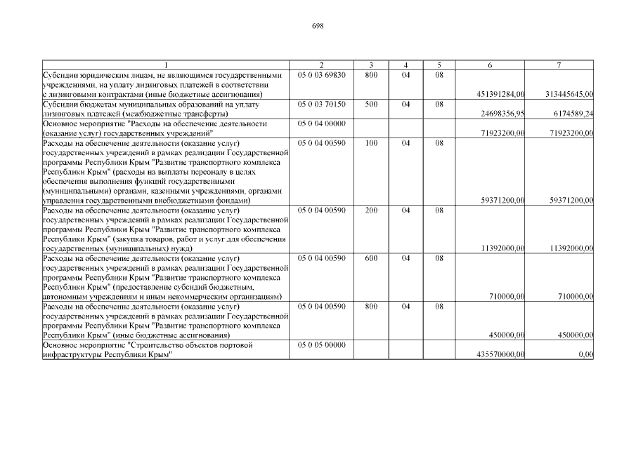
Закон Республики Крым от 09.08.2019 № 628-ЗРК/2019
"О внесении изменений в Закон Республики Крым "О бюджете Республики Крым на 2019 год и на плановый период 2020 и 2021 годов"
Номер опубликования: 9100201908150022
Дата опубликования: 15.08.2019
Страница №698 из 903:
Увеличить