Официальное опубликование правовых актов
ОФИЦИАЛЬНОЕ ОПУБЛИКОВАНИЕ
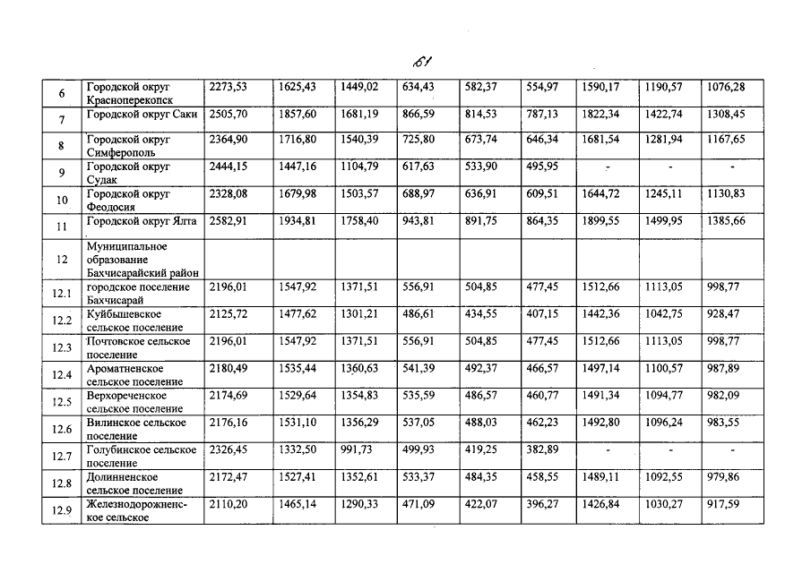
Постановление Совета министров Республики Крым от 29.07.2019 № 405
"О региональных стандартах стоимости жилищно-коммунальных услуг на одного члена семьи для семей разной численности, применяемых при определении прав граждан на получение субсидий и мер социальной поддержки на оплату жилого помещения и коммунальных услуг в Республике Крым, на 2019 год"
Номер опубликования: 9100201908050001
Дата опубликования: 05.08.2019
Страница №61 из 78:
Увеличить