Официальное опубликование правовых актов
ОФИЦИАЛЬНОЕ ОПУБЛИКОВАНИЕ
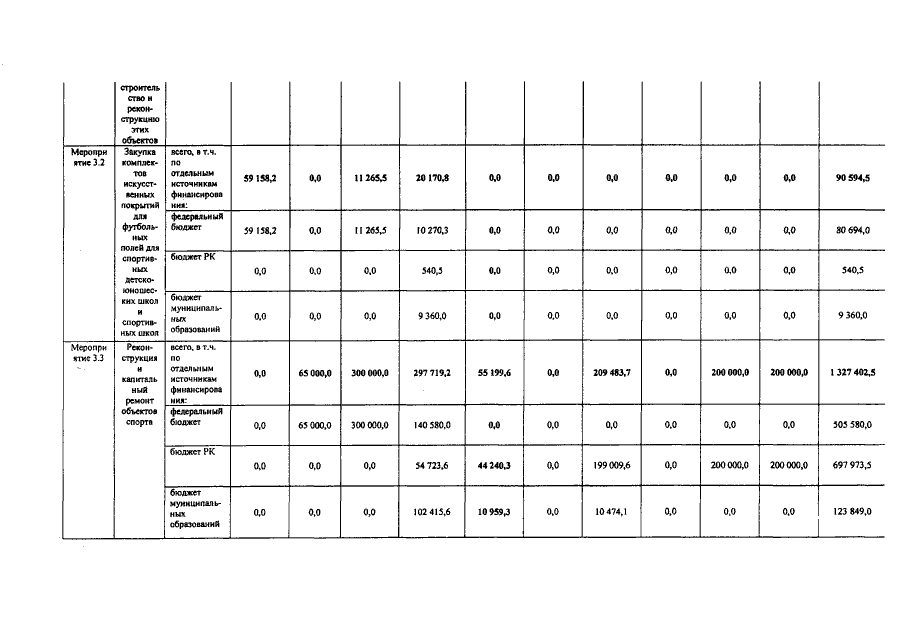
Постановление Совета министров Республики Крым от 01.07.2019 № 355
"О внесении изменений в постановление Совета министров Республики Крым от 30 декабря 2015 года № 874"
Номер опубликования: 9100201907030024
Дата опубликования: 03.07.2019
Страница №15 из 54:
Увеличить