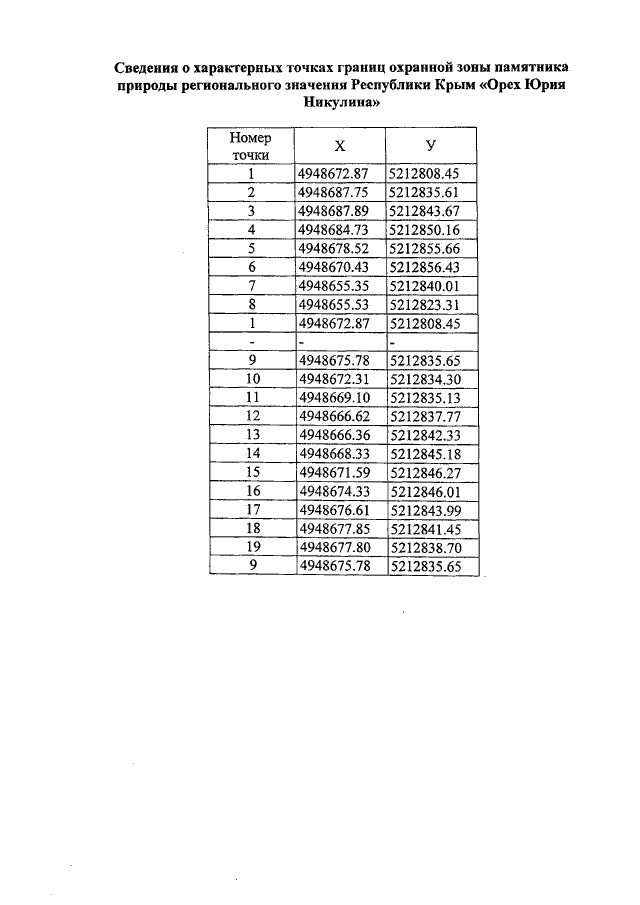
Указ Главы Республики Крым от 02.04.2019 № 163-У "Об установлении охранной зоны памятника природы регионального значения Республики Крым "Орех Юрия Никулина"
Номер опубликования: 9100201904080015
Дата опубликования:
08.04.2019
