Официальное опубликование правовых актов
ОФИЦИАЛЬНОЕ ОПУБЛИКОВАНИЕ
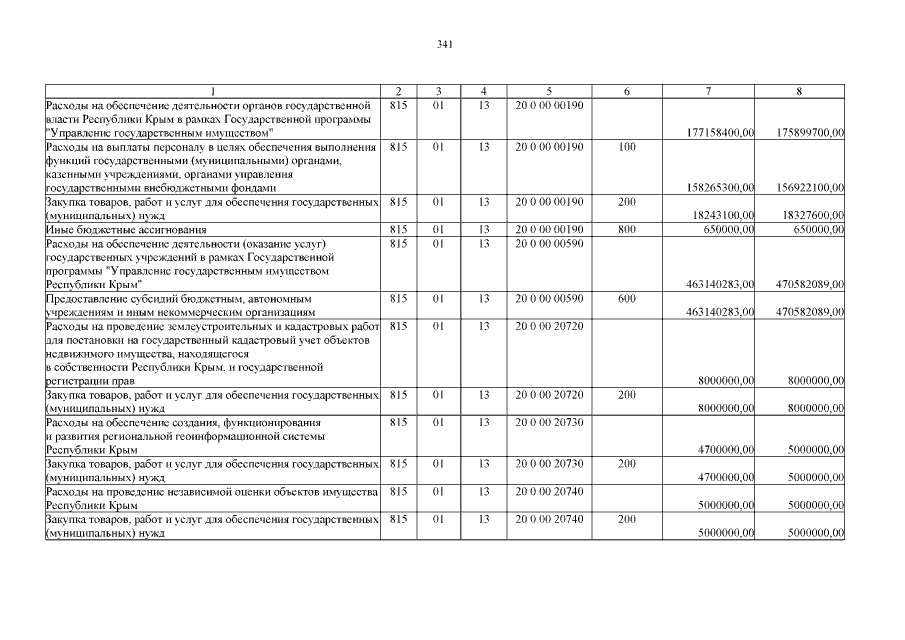
Закон Республики Крым от 28.03.2019 № 581-ЗРК/2019
"О внесении изменений в Закон Республики Крым "О бюджете Республики Крым на 2019 год и на плановый период 2020 и 2021 годов"
Номер опубликования: 9100201904040017
Дата опубликования: 04.04.2019
Страница №341 из 881:
Увеличить