Официальное опубликование правовых актов
ОФИЦИАЛЬНОЕ ОПУБЛИКОВАНИЕ
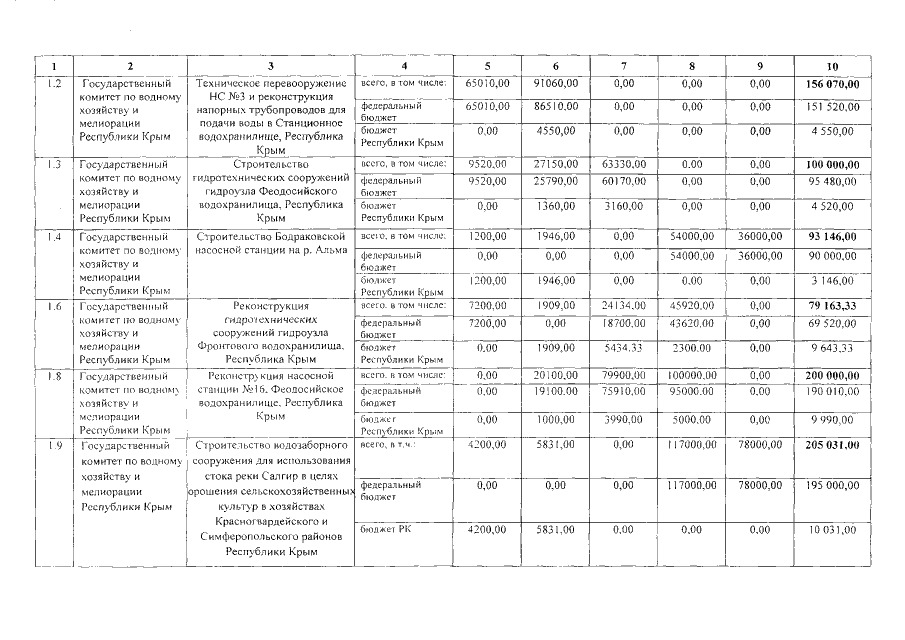
Постановление Совета министров Республики Крым от 05.12.2018 № 602 "О внесении изменений в постановление Совета министров Республики Крым от 22 ноября 2016 года № 566"
Номер опубликования: 9100201812060011
Дата опубликования: 06.12.2018
Страница №29 из 35:
Увеличить