Официальное опубликование правовых актов
ОФИЦИАЛЬНОЕ ОПУБЛИКОВАНИЕ
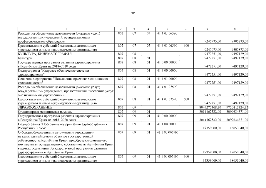
Закон Республики Крым от 03.12.2018 № 546-ЗРК/2018
"О внесении изменений в Закон Республики Крым "О бюджете Республики Крым на 2018 год и на плановый период 2019 и 2020 годов"
Номер опубликования: 9100201812060003
Дата опубликования: 06.12.2018
Страница №305 из 942:
Увеличить